Petition for Protective Order - Oklahoma

Notification Icon This version of the form is not currently in use and is provided for reference only. Download this version of the document for the current year.

Petition for Protective Order - Oklahoma

Petition for Protective Order is a legal document that was released by the Oklahoma District Court - a government authority operating within Oklahoma.

FAQ

Q: What is a Protective Order in Oklahoma?
A: A Protective Order is a court order designed to protect individuals from domestic violence or stalking.

Q: Who can file a Petition for Protective Order in Oklahoma?
A: Any person who is a victim of domestic violence or stalking in Oklahoma can file a Petition for Protective Order.

Q: How can I file a Petition for Protective Order in Oklahoma?
A: To file a Petition for Protective Order in Oklahoma, you need to go to the district court and complete the necessary forms. You may also seek assistance from a domestic violence organization or an attorney.

Q: What information should I include in the Petition for Protective Order?
A: You should include detailed information about the incidents of domestic violence or stalking, the relationship between you and the respondent, and any supporting evidence.

Q: What happens after I file a Petition for Protective Order?
A: After you file a Petition for Protective Order, a hearing will be scheduled within a certain timeframe, where both parties will have the opportunity to present their arguments and evidence.

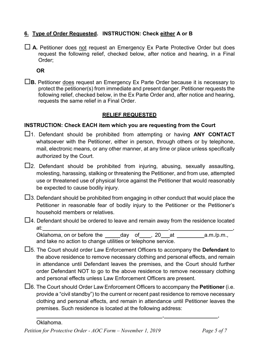
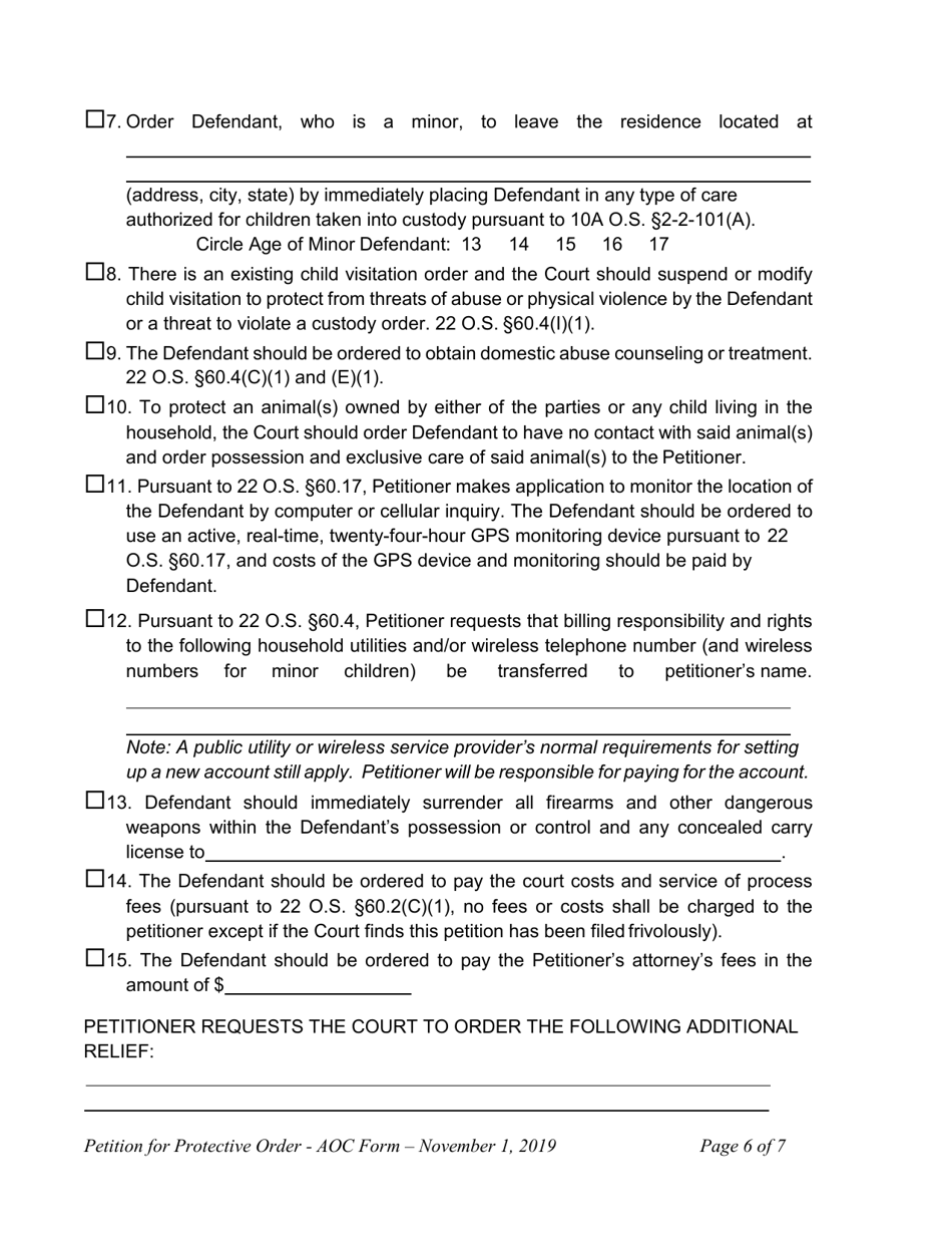
Q: What can a Protective Order in Oklahoma do?
A: A Protective Order in Oklahoma can provide various forms of protection, including ordering the respondent to stay away from you, prohibiting contact, granting temporary custody of children, and other necessary relief.

Q: How long does a Protective Order last in Oklahoma?
A: A Protective Order in Oklahoma is initially issued for a period of 21 days. In some cases, it can be extended for up to 5 years.

Q: What should I do if the respondent violates a Protective Order?
A: If the respondent violates a Protective Order, you should contact law enforcement immediately and provide them with the necessary information and evidence.

Q: Can I modify or terminate a Protective Order in Oklahoma?
A: Yes, you can request to modify or terminate a Protective Order in Oklahoma by filing a motion with the court and presenting sufficient grounds for the requested change.

Q: Do I need an attorney to file a Petition for Protective Order in Oklahoma?
A: While it is not required, it is recommended to seek the assistance of an attorney or a domestic violence organization when filing a Petition for Protective Order to ensure your rights and interests are protected.

ADVERTISEMENT

Form Details:

  • Released on November 1, 2019;
  • The latest edition currently provided by the Oklahoma District Court;
  • Ready to use and print;
  • Easy to customize;
  • Compatible with most PDF-viewing applications;
  • Fill out the form in our online filing application.

Download a fillable version of the form by clicking the link below or browse more documents and templates provided by the Oklahoma District Court.

Download Petition for Protective Order - Oklahoma

4.4 of 5 (11 votes)
  • Petition for Protective Order - Oklahoma

    1

  • Petition for Protective Order - Oklahoma, Page 2

    2

  • Petition for Protective Order - Oklahoma, Page 3

    3

  • Petition for Protective Order - Oklahoma, Page 4

    4

  • Petition for Protective Order - Oklahoma, Page 5

    5

  • Petition for Protective Order - Oklahoma, Page 6

    6

  • Petition for Protective Order - Oklahoma, Page 7

    7

  • Petition for Protective Order - Oklahoma, Page 1
  • Petition for Protective Order - Oklahoma, Page 2
  • Petition for Protective Order - Oklahoma, Page 3
  • Petition for Protective Order - Oklahoma, Page 4
  • Petition for Protective Order - Oklahoma, Page 5
  • Petition for Protective Order - Oklahoma, Page 6
  • Petition for Protective Order - Oklahoma, Page 7
Prev 1 2 3 4 5 ... 7 Next
ADVERTISEMENT