Form MR-400 (DHEC Form 3102) Application for a Mine Operating Permit - South Carolina

Form MR-400 (DHEC Form 3102) Application for a Mine Operating Permit - South Carolina

What Is Form MR-400 (DHEC Form 3102)?

This is a legal form that was released by the South Carolina Department of Health and Environmental Control - a government authority operating within South Carolina. As of today, no separate filing guidelines for the form are provided by the issuing department.

FAQ

Q: What is Form MR-400?
A: Form MR-400 is the Application for a Mine Operating Permit in South Carolina.

Q: What is DHEC Form 3102?
A: DHEC Form 3102 is the specific form number assigned to the Mine Operating Permit application.

Q: What is a Mine Operating Permit?
A: A Mine Operating Permit is a document required to operate a mine in South Carolina.

Q: Who needs to fill out Form MR-400?
A: Anyone planning to operate a mine in South Carolina needs to fill out Form MR-400.

Q: Are there any fees associated with Form MR-400?
A: Yes, there are fees associated with the Mine Operating Permit application. The specific amount can be found on the form or by contacting the South Carolina Department of Health and Environmental Control.

Q: Is there a deadline to submit Form MR-400?
A: It is recommended to submit the Mine Operating Permit application at least 180 days prior to the anticipated date of mining operations.

Q: What information is required on Form MR-400?
A: Form MR-400 requires information such as the applicant's contact information, mining operations details, environmental impact assessment, and financial assurance.

Q: Are there any additional documents required with Form MR-400?
A: Yes, additional documents such as a reclamation plan and proof of financial assurance are typically required with the Mine Operating Permit application.

ADVERTISEMENT

Form Details:

  • Released on July 1, 2019;
  • The latest edition provided by the South Carolina Department of Health and Environmental Control;
  • Easy to use and ready to print;
  • Quick to customize;
  • Compatible with most PDF-viewing applications;
  • Fill out the form in our online filing application.

Download a fillable version of Form MR-400 (DHEC Form 3102) by clicking the link below or browse more documents and templates provided by the South Carolina Department of Health and Environmental Control.

Download Form MR-400 (DHEC Form 3102) Application for a Mine Operating Permit - South Carolina

4.4 of 5 (10 votes)
  • Form MR-400 (DHEC Form 3102) Application for a Mine Operating Permit - South Carolina

    1

  • Form MR-400 (DHEC Form 3102) Application for a Mine Operating Permit - South Carolina, Page 2

    2

  • Form MR-400 (DHEC Form 3102) Application for a Mine Operating Permit - South Carolina, Page 3

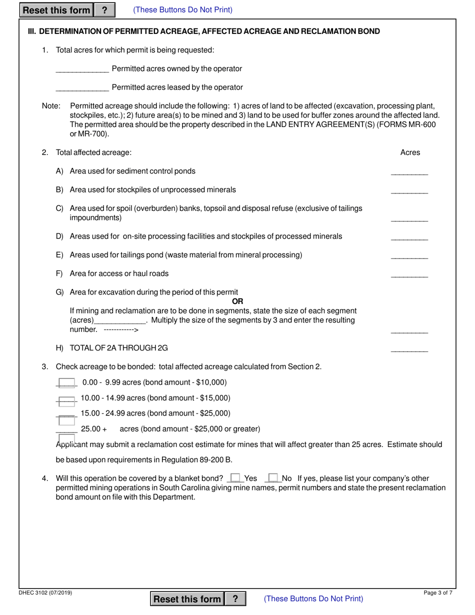
    3

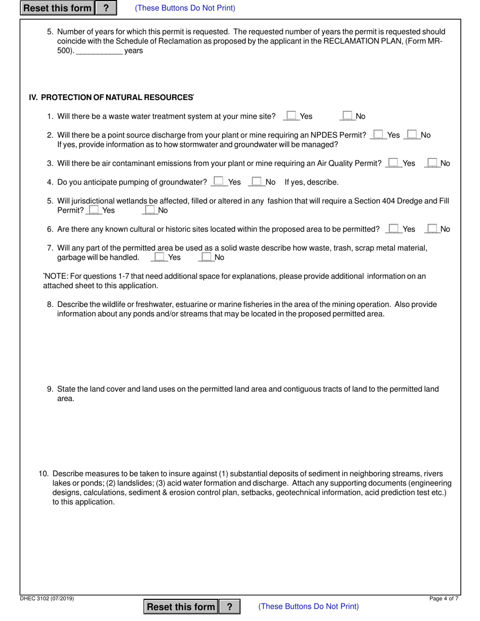
  • Form MR-400 (DHEC Form 3102) Application for a Mine Operating Permit - South Carolina, Page 4

    4

  • Form MR-400 (DHEC Form 3102) Application for a Mine Operating Permit - South Carolina, Page 5

    5

  • Form MR-400 (DHEC Form 3102) Application for a Mine Operating Permit - South Carolina, Page 6

    6

  • Form MR-400 (DHEC Form 3102) Application for a Mine Operating Permit - South Carolina, Page 7

    7

  • Form MR-400 (DHEC Form 3102) Application for a Mine Operating Permit - South Carolina, Page 1
  • Form MR-400 (DHEC Form 3102) Application for a Mine Operating Permit - South Carolina, Page 2
  • Form MR-400 (DHEC Form 3102) Application for a Mine Operating Permit - South Carolina, Page 3
  • Form MR-400 (DHEC Form 3102) Application for a Mine Operating Permit - South Carolina, Page 4
  • Form MR-400 (DHEC Form 3102) Application for a Mine Operating Permit - South Carolina, Page 5
  • Form MR-400 (DHEC Form 3102) Application for a Mine Operating Permit - South Carolina, Page 6
  • Form MR-400 (DHEC Form 3102) Application for a Mine Operating Permit - South Carolina, Page 7
Prev 1 2 3 4 5 ... 7 Next
ADVERTISEMENT

Related Documents