Form MP410 Findings, Conclusions, and Order Committing Respondent for Involuntary Treatment or Less Restrictive Treatment (14-day, 90-day LRA, 90-day Aot) - Washington

Notification Icon This version of the form is not currently in use and is provided for reference only. Download this version of Form MP410 for the current year.

Form MP410 Findings, Conclusions, and Order Committing Respondent for Involuntary Treatment or Less Restrictive Treatment (14-day, 90-day LRA, 90-day Aot) - Washington

What Is Form MP410?

This is a legal form that was released by the Washington Superior Court - a government authority operating within Washington. As of today, no separate filing guidelines for the form are provided by the issuing department.

FAQ

Q: What is the purpose of form MP410?
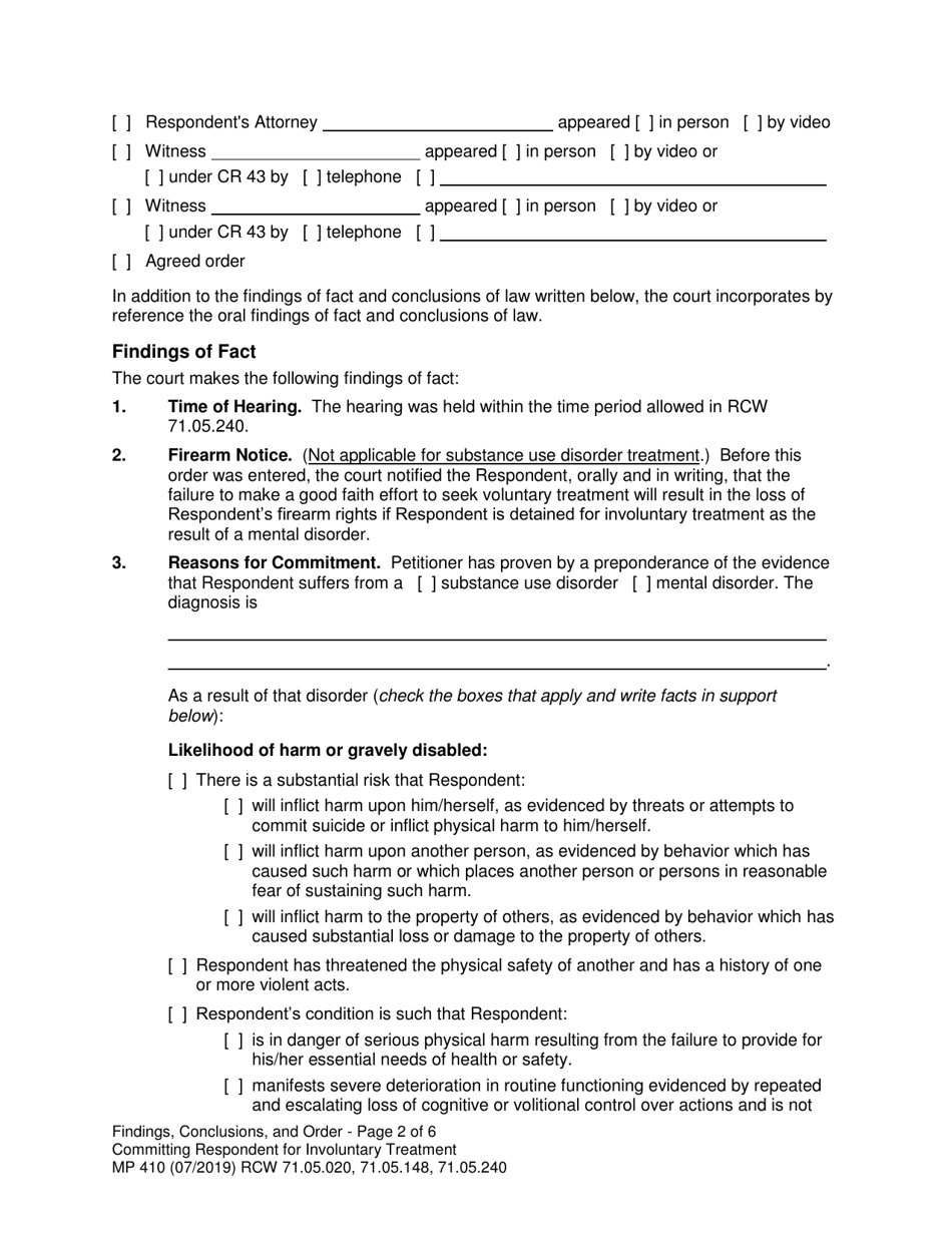
A: The purpose of form MP410 is to document the findings, conclusions, and order committing a respondent to involuntary treatment or less restrictive treatment in Washington.

Q: What types of treatment can be ordered using form MP410?
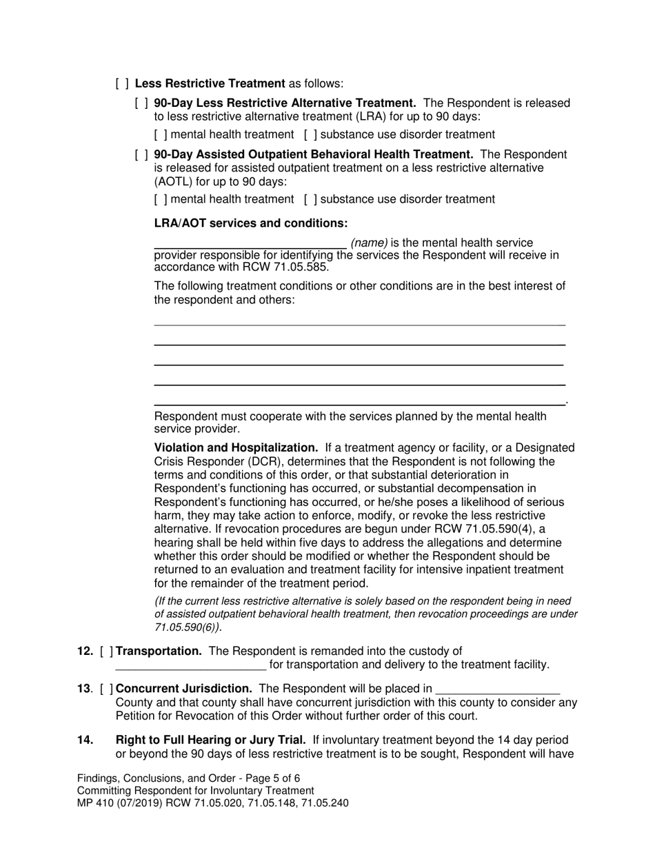
A: Form MP410 can be used to order 14-day involuntary treatment, 90-day less restrictive treatment (LRA), or 90-day assisted outpatient treatment (AOT).

Q: Who is the respondent in form MP410?
A: The respondent in form MP410 is the individual who is the subject of the involuntary treatment or less restrictive treatment order.

Q: What are the findings and conclusions mentioned in form MP410?
A: The findings and conclusions in form MP410 refer to the evaluation and assessment of the respondent's mental health condition that supports the need for involuntary treatment or less restrictive treatment.

Q: Is form MP410 specific to Washington state?
A: Yes, form MP410 is specific to Washington state and is used in the context of Washington's laws governing involuntary treatment and less restrictive treatment.

ADVERTISEMENT

Form Details:

  • Released on July 1, 2019;
  • The latest edition provided by the Washington Superior Court;
  • Easy to use and ready to print;
  • Quick to customize;
  • Compatible with most PDF-viewing applications;
  • Fill out the form in our online filing application.

Download a printable version of Form MP410 by clicking the link below or browse more documents and templates provided by the Washington Superior Court.

Download Form MP410 Findings, Conclusions, and Order Committing Respondent for Involuntary Treatment or Less Restrictive Treatment (14-day, 90-day LRA, 90-day Aot) - Washington

4.8 of 5 (26 votes)
  • Form MP410 Findings, Conclusions, and Order Committing Respondent for Involuntary Treatment or Less Restrictive Treatment (14-day, 90-day LRA, 90-day Aot) - Washington

    1

  • Form MP410 Findings, Conclusions, and Order Committing Respondent for Involuntary Treatment or Less Restrictive Treatment (14-day, 90-day LRA, 90-day Aot) - Washington, Page 2

    2

  • Form MP410 Findings, Conclusions, and Order Committing Respondent for Involuntary Treatment or Less Restrictive Treatment (14-day, 90-day LRA, 90-day Aot) - Washington, Page 3

    3

  • Form MP410 Findings, Conclusions, and Order Committing Respondent for Involuntary Treatment or Less Restrictive Treatment (14-day, 90-day LRA, 90-day Aot) - Washington, Page 4

    4

  • Form MP410 Findings, Conclusions, and Order Committing Respondent for Involuntary Treatment or Less Restrictive Treatment (14-day, 90-day LRA, 90-day Aot) - Washington, Page 5

    5

  • Form MP410 Findings, Conclusions, and Order Committing Respondent for Involuntary Treatment or Less Restrictive Treatment (14-day, 90-day LRA, 90-day Aot) - Washington, Page 6

    6

  • Form MP410 Findings, Conclusions, and Order Committing Respondent for Involuntary Treatment or Less Restrictive Treatment (14-day, 90-day LRA, 90-day Aot) - Washington, Page 1
  • Form MP410 Findings, Conclusions, and Order Committing Respondent for Involuntary Treatment or Less Restrictive Treatment (14-day, 90-day LRA, 90-day Aot) - Washington, Page 2
  • Form MP410 Findings, Conclusions, and Order Committing Respondent for Involuntary Treatment or Less Restrictive Treatment (14-day, 90-day LRA, 90-day Aot) - Washington, Page 3
  • Form MP410 Findings, Conclusions, and Order Committing Respondent for Involuntary Treatment or Less Restrictive Treatment (14-day, 90-day LRA, 90-day Aot) - Washington, Page 4
  • Form MP410 Findings, Conclusions, and Order Committing Respondent for Involuntary Treatment or Less Restrictive Treatment (14-day, 90-day LRA, 90-day Aot) - Washington, Page 5
  • Form MP410 Findings, Conclusions, and Order Committing Respondent for Involuntary Treatment or Less Restrictive Treatment (14-day, 90-day LRA, 90-day Aot) - Washington, Page 6
Prev 1 2 3 4 5 6 Next
ADVERTISEMENT

Related Documents