Form PD-23 Reportable Disease Confidential Case Report Form - Connecticut

Notification Icon This version of the form is not currently in use and is provided for reference only. Download this version of Form PD-23 for the current year.

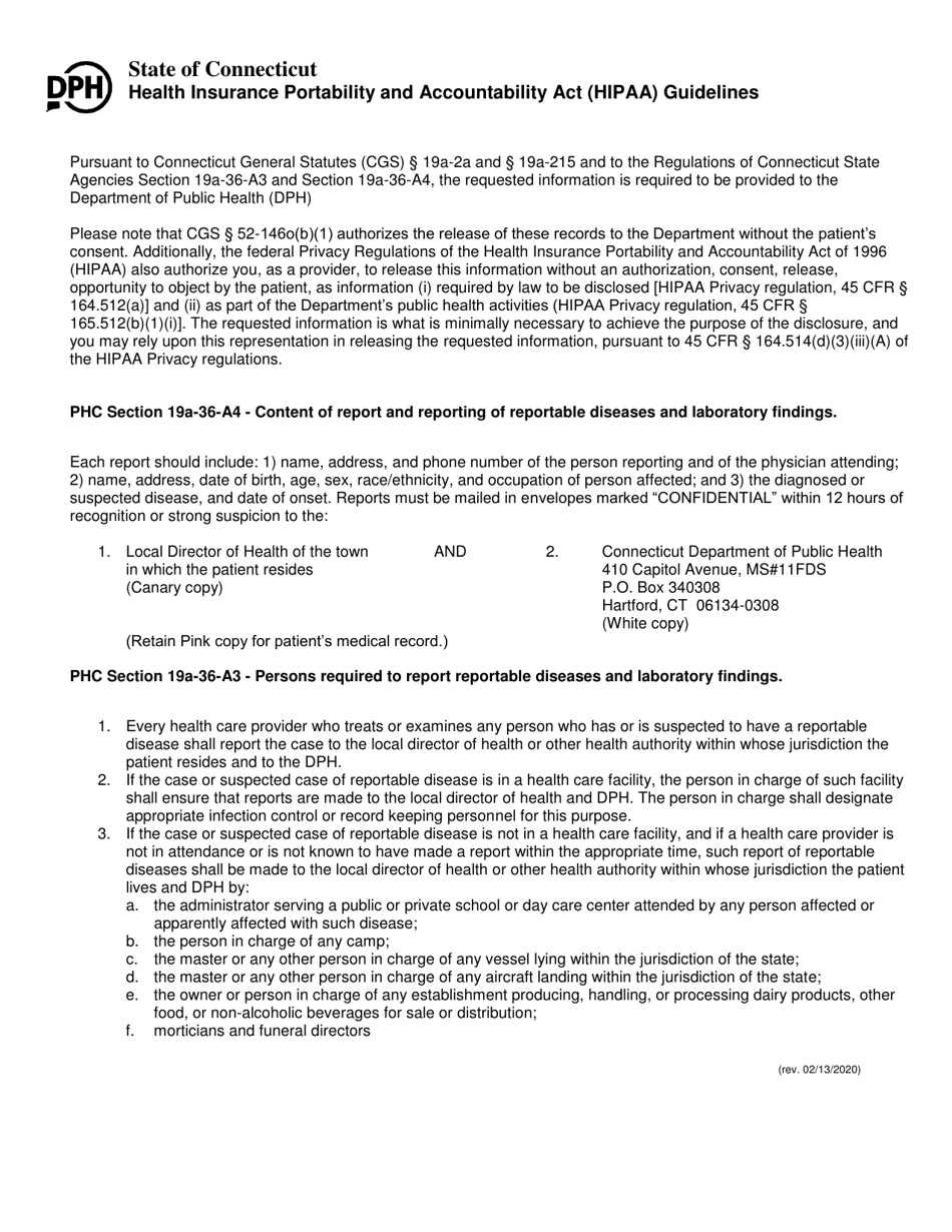
Form PD-23 Reportable Disease Confidential Case Report Form - Connecticut

What Is Form PD-23?

This is a legal form that was released by the Connecticut State Department of Public Health - a government authority operating within Connecticut. As of today, no separate filing guidelines for the form are provided by the issuing department.

FAQ

Q: What is the Form PD-23?
A: Form PD-23 is a reportable disease confidential case report form.

Q: What is the purpose of Form PD-23?
A: Form PD-23 is used to report cases of reportable diseases in Connecticut.

Q: What information is collected on Form PD-23?
A: Form PD-23 collects information about the patient, including their personal demographics and symptoms, as well as information about the disease itself.

Q: Who is responsible for completing Form PD-23?
A: Healthcare providers, laboratories, and other healthcare professionals are responsible for completing Form PD-23.

Q: How is Form PD-23 submitted?
A: Form PD-23 can be submitted electronically or by mail to the Connecticut Department of Public Health.

Q: Is Form PD-23 confidential?
A: Yes, Form PD-23 is confidential and contains sensitive health information.

Q: Are there penalties for not submitting Form PD-23?
A: Failure to submit Form PD-23 may result in penalties, including fines.

Q: Are there other reportable disease forms?
A: Yes, there may be other reportable disease forms used in different states or jurisdictions.

Q: What should I do if I suspect a reportable disease?
A: If you suspect a reportable disease, you should contact your healthcare provider or local health department.

ADVERTISEMENT

Form Details:

  • Released on February 13, 2020;
  • The latest edition provided by the Connecticut State Department of Public Health;
  • Easy to use and ready to print;
  • Quick to customize;
  • Compatible with most PDF-viewing applications;
  • Fill out the form in our online filing application.

Download a fillable version of Form PD-23 by clicking the link below or browse more documents and templates provided by the Connecticut State Department of Public Health.

Download Form PD-23 Reportable Disease Confidential Case Report Form - Connecticut

4.6 of 5 (23 votes)
  • Form PD-23 Reportable Disease Confidential Case Report Form - Connecticut

    1

  • Form PD-23 Reportable Disease Confidential Case Report Form - Connecticut, Page 2

    2

  • Form PD-23 Reportable Disease Confidential Case Report Form - Connecticut, Page 3

    3

  • Form PD-23 Reportable Disease Confidential Case Report Form - Connecticut, Page 1
  • Form PD-23 Reportable Disease Confidential Case Report Form - Connecticut, Page 2
  • Form PD-23 Reportable Disease Confidential Case Report Form - Connecticut, Page 3
Prev 1 2 3 Next
ADVERTISEMENT