Petroleum Restoration Program Site Access Agreement - Florida

Petroleum Restoration Program Site Access Agreement - Florida

Petroleum Restoration Program Site Access Agreement is a legal document that was released by the Florida Department of Environmental Protection - a government authority operating within Florida.

FAQ

Q: What is the Petroleum Restoration Program?
A: The Petroleum Restoration Program is a program in Florida that aims to clean up petroleum-contaminated sites.

Q: What is a Site Access Agreement?
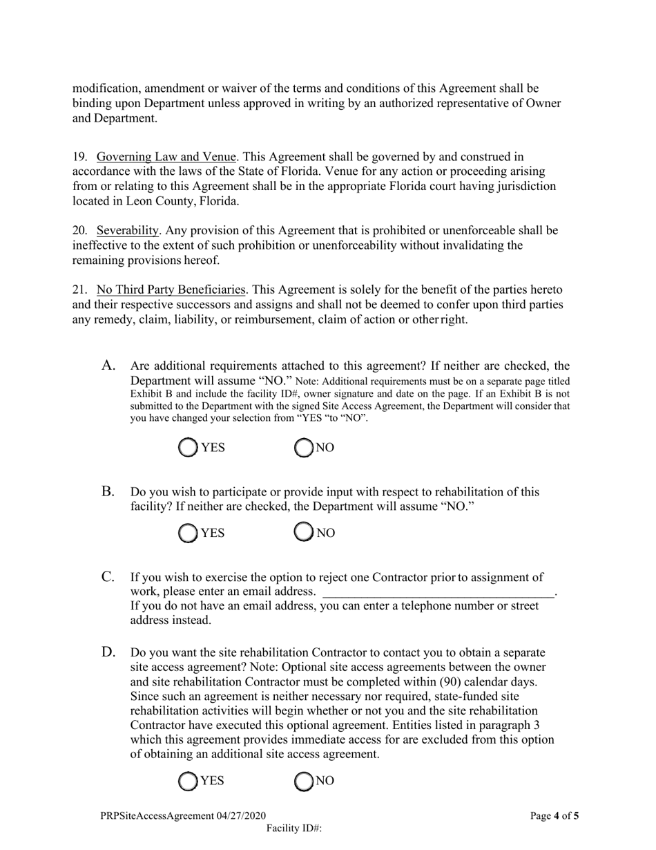
A: A Site Access Agreement is a legal document that allows authorized personnel to access a petroleum-contaminated site for assessment and cleanup purposes.

Q: Who needs to sign a Site Access Agreement?
A: Both the property owner and the Florida Department of Environmental Protection (DEP) need to sign the Site Access Agreement.

Q: What is the purpose of a Site Access Agreement?
A: The purpose of a Site Access Agreement is to establish the terms and conditions for accessing and conducting cleanup activities at a petroleum-contaminated site.

Q: What happens if a property owner refuses to sign a Site Access Agreement?
A: If a property owner refuses to sign a Site Access Agreement, the DEP may pursue legal action to gain access to the site.

Q: Can a property owner be held responsible for the costs of cleanup?
A: Yes, under certain circumstances, a property owner may be held responsible for the costs of cleanup if they are found to be liable for the contamination.

Q: Are there any financial assistance programs available for cleanup?
A: Yes, the Petroleum Restoration Program offers financial assistance to eligible property owners for cleanup activities.

ADVERTISEMENT

Form Details:

  • Released on April 27, 2020;
  • The latest edition currently provided by the Florida Department of Environmental Protection;
  • Ready to use and print;
  • Easy to customize;
  • Compatible with most PDF-viewing applications;
  • Fill out the form in our online filing application.

Download a fillable version of the form by clicking the link below or browse more documents and templates provided by the Florida Department of Environmental Protection.

Download Petroleum Restoration Program Site Access Agreement - Florida

4.4 of 5 (36 votes)
  • Petroleum Restoration Program Site Access Agreement - Florida

    1

  • Petroleum Restoration Program Site Access Agreement - Florida, Page 2

    2

  • Petroleum Restoration Program Site Access Agreement - Florida, Page 3

    3

  • Petroleum Restoration Program Site Access Agreement - Florida, Page 4

    4

  • Petroleum Restoration Program Site Access Agreement - Florida, Page 5

    5

  • Petroleum Restoration Program Site Access Agreement - Florida, Page 1
  • Petroleum Restoration Program Site Access Agreement - Florida, Page 2
  • Petroleum Restoration Program Site Access Agreement - Florida, Page 3
  • Petroleum Restoration Program Site Access Agreement - Florida, Page 4
  • Petroleum Restoration Program Site Access Agreement - Florida, Page 5
Prev 1 2 3 4 5 Next
ADVERTISEMENT