Form HSMV82002 Initial Registration Fee Exemption Affidavit - Florida

Notification Icon This version of the form is not currently in use and is provided for reference only. Download this version of Form HSMV82002 for the current year.

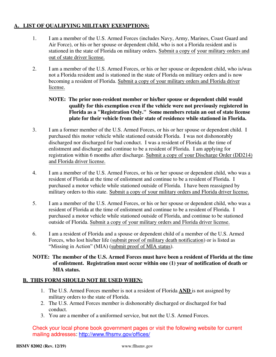
Form HSMV82002 Initial Registration Fee Exemption Affidavit - Florida

What Is Form HSMV82002?

This is a legal form that was released by the Florida Department of Highway Safety and Motor Vehicles - a government authority operating within Florida. As of today, no separate filing guidelines for the form are provided by the issuing department.

FAQ

Q: What is the HSMV82002 form?
A: The HSMV82002 form is the Initial Registration Fee Exemption Affidavit in Florida.

Q: What is the purpose of the form?
A: The purpose of this form is to apply for an exemption from paying the initial registration fee for a vehicle in Florida.

Q: Who needs to fill out this form?
A: This form needs to be filled out by Florida residents who are requesting an exemption from paying the initial registration fee for a vehicle.

Q: What documents do I need to submit with the form?
A: You may need to submit supporting documents such as proof of disability, proof of military service, or proof of governmental agency ownership.

Q: Is there a fee for submitting this form?
A: No, there is no fee for submitting this form.

Q: How long does it take to process the exemption?
A: The processing time may vary, but it is typically processed within a few weeks.

Q: Are there any other exemptions available for vehicle registration fees in Florida?
A: Yes, there are other exemptions available, such as exemptions for certain military personnel, disabled veterans, and certain governmental agencies.

ADVERTISEMENT

Form Details:

  • Released on December 1, 2019;
  • The latest edition provided by the Florida Department of Highway Safety and Motor Vehicles;
  • Easy to use and ready to print;
  • Quick to customize;
  • Compatible with most PDF-viewing applications;
  • Fill out the form in our online filing application.

Download a fillable version of Form HSMV82002 by clicking the link below or browse more documents and templates provided by the Florida Department of Highway Safety and Motor Vehicles.

Download Form HSMV82002 Initial Registration Fee Exemption Affidavit - Florida

4.6 of 5 (22 votes)
  • Form HSMV82002 Initial Registration Fee Exemption Affidavit - Florida

    1

  • Form HSMV82002 Initial Registration Fee Exemption Affidavit - Florida, Page 2

    2

  • Form HSMV82002 Initial Registration Fee Exemption Affidavit - Florida, Page 1
  • Form HSMV82002 Initial Registration Fee Exemption Affidavit - Florida, Page 2
Prev 1 2 Next
ADVERTISEMENT

Related Documents