Form KMH-3A Order Granting Release on Conditions After Commitment and Stipulation of Parties; Release Conditions; Examiner's Report(S) - Hawaii

Form KMH-3A Order Granting Release on Conditions After Commitment and Stipulation of Parties; Release Conditions; Examiner's Report(S) - Hawaii

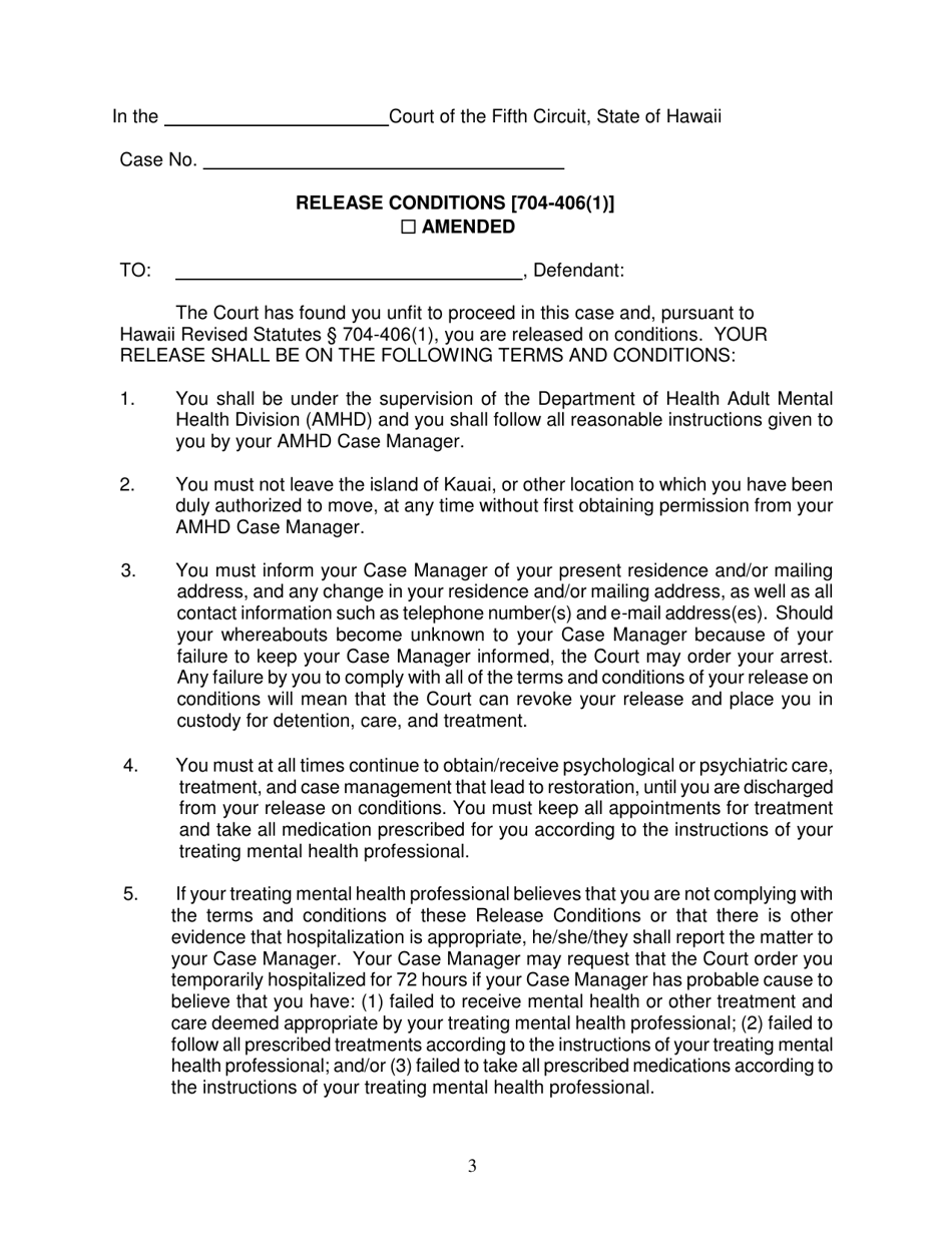
What Is Form KMH-3A?

This is a legal form that was released by the Hawaii State Judiciary - a government authority operating within Hawaii. As of today, no separate filing guidelines for the form are provided by the issuing department.

FAQ

Q: What is Form KMH-3A?
A: Form KMH-3A is an order granting release on conditions after commitment and stipulation of parties.

Q: What does Form KMH-3A include?
A: Form KMH-3A includes release conditions and examiner's report(s).

Q: What is the purpose of Form KMH-3A?
A: The purpose of Form KMH-3A is to grant release on conditions after commitment and stipulation of parties.

Q: What does the examiner's report(s) in Form KMH-3A contain?
A: The examiner's report(s) in Form KMH-3A contain relevant information and findings.

Q: Who needs to fill out Form KMH-3A?
A: Form KMH-3A needs to be filled out by the party seeking release on conditions after commitment.

ADVERTISEMENT

Form Details:

  • Released on February 1, 2019;
  • The latest edition provided by the Hawaii State Judiciary;
  • Easy to use and ready to print;
  • Quick to customize;
  • Compatible with most PDF-viewing applications;
  • Fill out the form in our online filing application.

Download a printable version of Form KMH-3A by clicking the link below or browse more documents and templates provided by the Hawaii State Judiciary.

Download Form KMH-3A Order Granting Release on Conditions After Commitment and Stipulation of Parties; Release Conditions; Examiner's Report(S) - Hawaii

4.7 of 5 (22 votes)
  • Form KMH-3A Order Granting Release on Conditions After Commitment and Stipulation of Parties; Release Conditions; Examiner's Report(S) - Hawaii

    1

  • Form KMH-3A Order Granting Release on Conditions After Commitment and Stipulation of Parties; Release Conditions; Examiner's Report(S) - Hawaii, Page 2

    2

  • Form KMH-3A Order Granting Release on Conditions After Commitment and Stipulation of Parties; Release Conditions; Examiner's Report(S) - Hawaii, Page 3

    3

  • Form KMH-3A Order Granting Release on Conditions After Commitment and Stipulation of Parties; Release Conditions; Examiner's Report(S) - Hawaii, Page 4

    4

  • Form KMH-3A Order Granting Release on Conditions After Commitment and Stipulation of Parties; Release Conditions; Examiner's Report(S) - Hawaii, Page 5

    5

  • Form KMH-3A Order Granting Release on Conditions After Commitment and Stipulation of Parties; Release Conditions; Examiners Report(S) - Hawaii, Page 1
  • Form KMH-3A Order Granting Release on Conditions After Commitment and Stipulation of Parties; Release Conditions; Examiners Report(S) - Hawaii, Page 2
  • Form KMH-3A Order Granting Release on Conditions After Commitment and Stipulation of Parties; Release Conditions; Examiners Report(S) - Hawaii, Page 3
  • Form KMH-3A Order Granting Release on Conditions After Commitment and Stipulation of Parties; Release Conditions; Examiners Report(S) - Hawaii, Page 4
  • Form KMH-3A Order Granting Release on Conditions After Commitment and Stipulation of Parties; Release Conditions; Examiners Report(S) - Hawaii, Page 5
Prev 1 2 3 4 5 Next
ADVERTISEMENT

Related Documents