Form KMH-4 Order Finding Defendant Unfit to Proceed, Suspending Proceedings, and Releasing Defendant on Conditions - Hawaii

Form KMH-4 Order Finding Defendant Unfit to Proceed, Suspending Proceedings, and Releasing Defendant on Conditions - Hawaii

What Is Form KMH-4?

This is a legal form that was released by the Hawaii State Judiciary - a government authority operating within Hawaii. As of today, no separate filing guidelines for the form are provided by the issuing department.

FAQ

Q: What is Form KMH-4 used for?
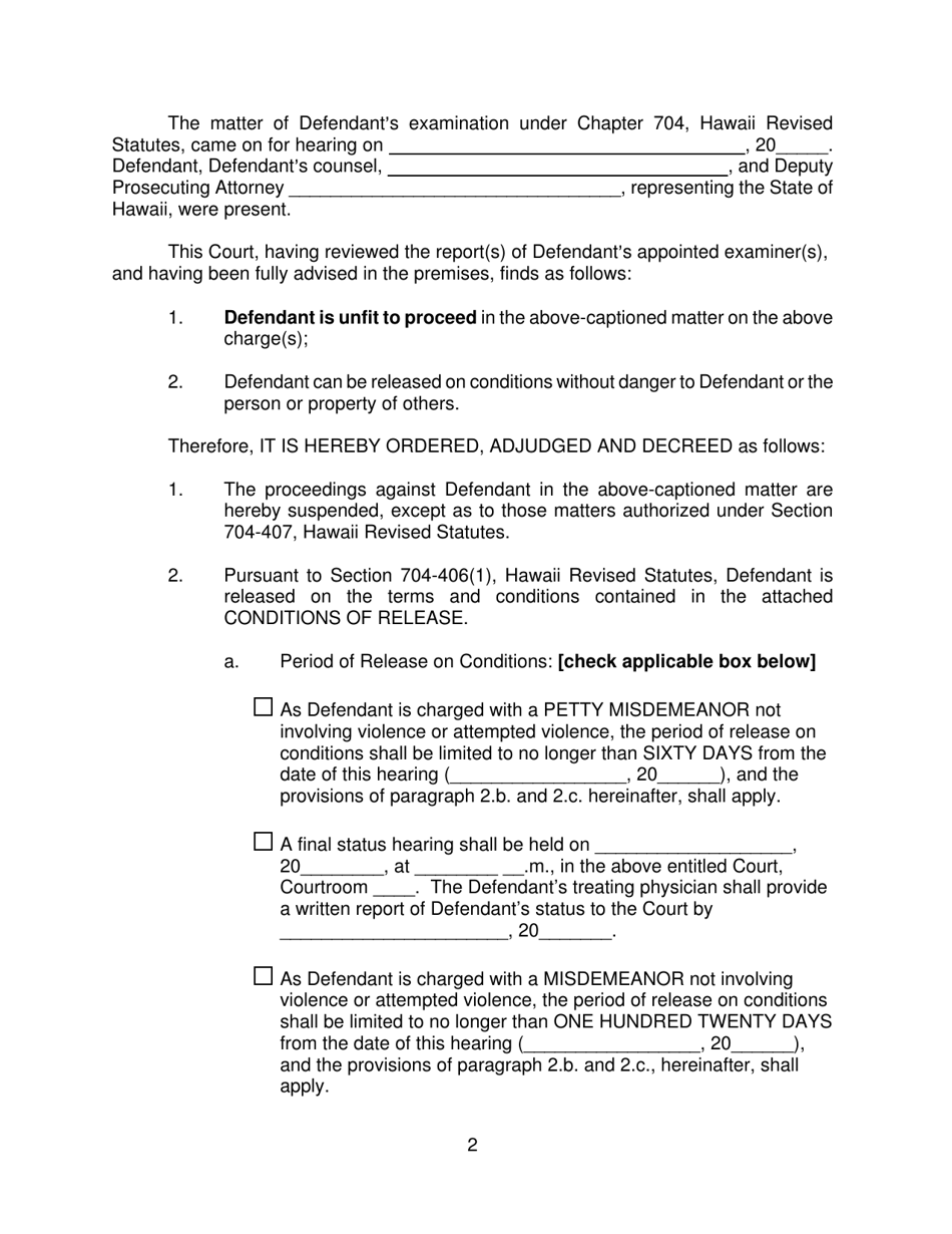
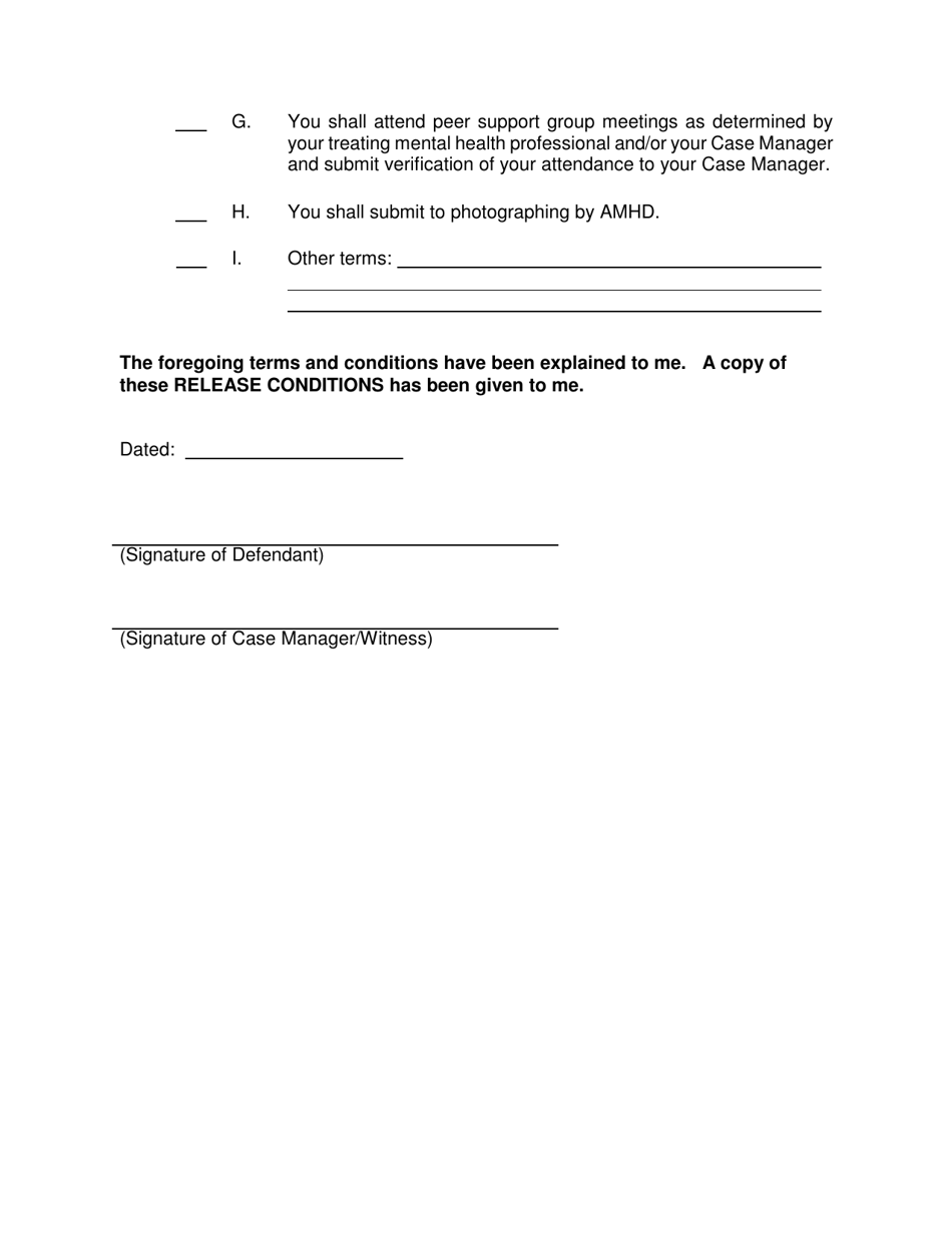
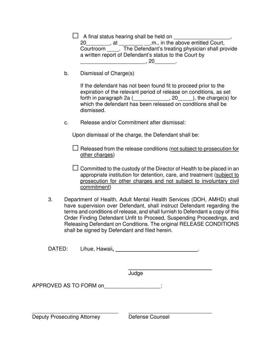
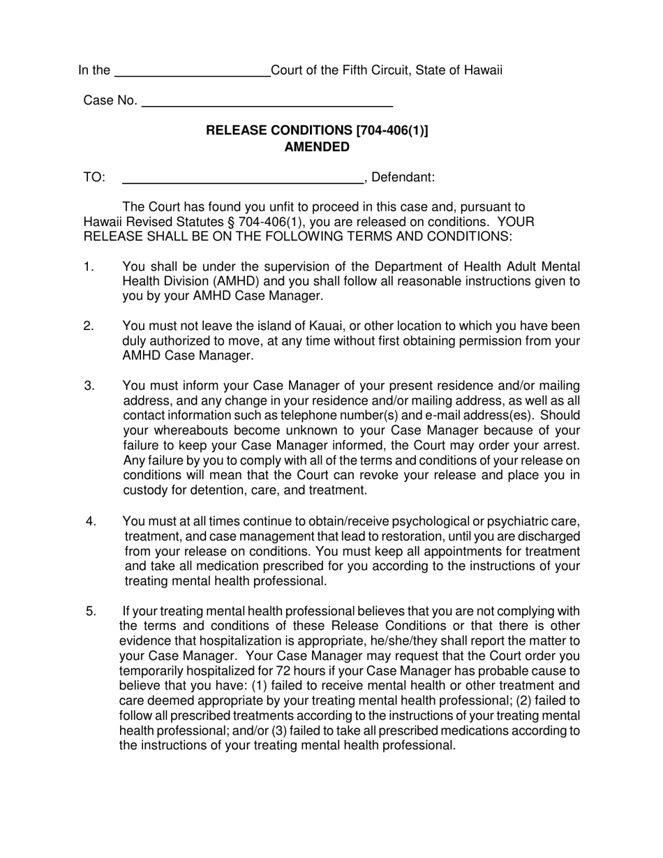
A: Form KMH-4 is used to find a defendant unfit to proceed, suspend proceedings, and release the defendant on conditions.

Q: What does it mean to find a defendant unfit to proceed?
A: Finding a defendant unfit to proceed means that the defendant is unable to understand the nature of the criminal charges against them or to assist in their own defense.

Q: What happens when proceedings are suspended?
A: When proceedings are suspended, the legal process is temporarily put on hold until the defendant becomes fit to proceed.

Q: What are the conditions for releasing a defendant on KMH-4?
A: The release of a defendant on KMH-4 is subject to certain conditions, which may include regular check-ins with authorities, attending counseling or treatment programs, or wearing an electronic monitoring device.

Q: Which state is Form KMH-4 used in?
A: Form KMH-4 is used in Hawaii.

ADVERTISEMENT

Form Details:

  • Released on February 1, 2019;
  • The latest edition provided by the Hawaii State Judiciary;
  • Easy to use and ready to print;
  • Quick to customize;
  • Compatible with most PDF-viewing applications;
  • Fill out the form in our online filing application.

Download a printable version of Form KMH-4 by clicking the link below or browse more documents and templates provided by the Hawaii State Judiciary.

Download Form KMH-4 Order Finding Defendant Unfit to Proceed, Suspending Proceedings, and Releasing Defendant on Conditions - Hawaii

4.7 of 5 (15 votes)
  • Form KMH-4 Order Finding Defendant Unfit to Proceed, Suspending Proceedings, and Releasing Defendant on Conditions - Hawaii

    1

  • Form KMH-4 Order Finding Defendant Unfit to Proceed, Suspending Proceedings, and Releasing Defendant on Conditions - Hawaii, Page 2

    2

  • Form KMH-4 Order Finding Defendant Unfit to Proceed, Suspending Proceedings, and Releasing Defendant on Conditions - Hawaii, Page 3

    3

  • Form KMH-4 Order Finding Defendant Unfit to Proceed, Suspending Proceedings, and Releasing Defendant on Conditions - Hawaii, Page 4

    4

  • Form KMH-4 Order Finding Defendant Unfit to Proceed, Suspending Proceedings, and Releasing Defendant on Conditions - Hawaii, Page 5

    5

  • Form KMH-4 Order Finding Defendant Unfit to Proceed, Suspending Proceedings, and Releasing Defendant on Conditions - Hawaii, Page 6

    6

  • Form KMH-4 Order Finding Defendant Unfit to Proceed, Suspending Proceedings, and Releasing Defendant on Conditions - Hawaii, Page 1
  • Form KMH-4 Order Finding Defendant Unfit to Proceed, Suspending Proceedings, and Releasing Defendant on Conditions - Hawaii, Page 2
  • Form KMH-4 Order Finding Defendant Unfit to Proceed, Suspending Proceedings, and Releasing Defendant on Conditions - Hawaii, Page 3
  • Form KMH-4 Order Finding Defendant Unfit to Proceed, Suspending Proceedings, and Releasing Defendant on Conditions - Hawaii, Page 4
  • Form KMH-4 Order Finding Defendant Unfit to Proceed, Suspending Proceedings, and Releasing Defendant on Conditions - Hawaii, Page 5
  • Form KMH-4 Order Finding Defendant Unfit to Proceed, Suspending Proceedings, and Releasing Defendant on Conditions - Hawaii, Page 6
Prev 1 2 3 4 5 6 Next
ADVERTISEMENT

Related Documents