Form KMH-9 Order Granting Director of Health Application for Conditional Release or Discharge - Hawaii

Form KMH-9 Order Granting Director of Health Application for Conditional Release or Discharge - Hawaii

What Is Form KMH-9?

This is a legal form that was released by the Hawaii State Judiciary - a government authority operating within Hawaii. As of today, no separate filing guidelines for the form are provided by the issuing department.

FAQ

Q: What is the purpose of Form KMH-9?
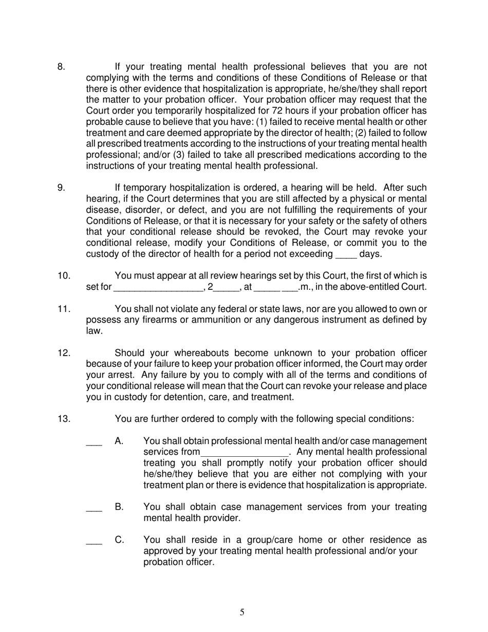
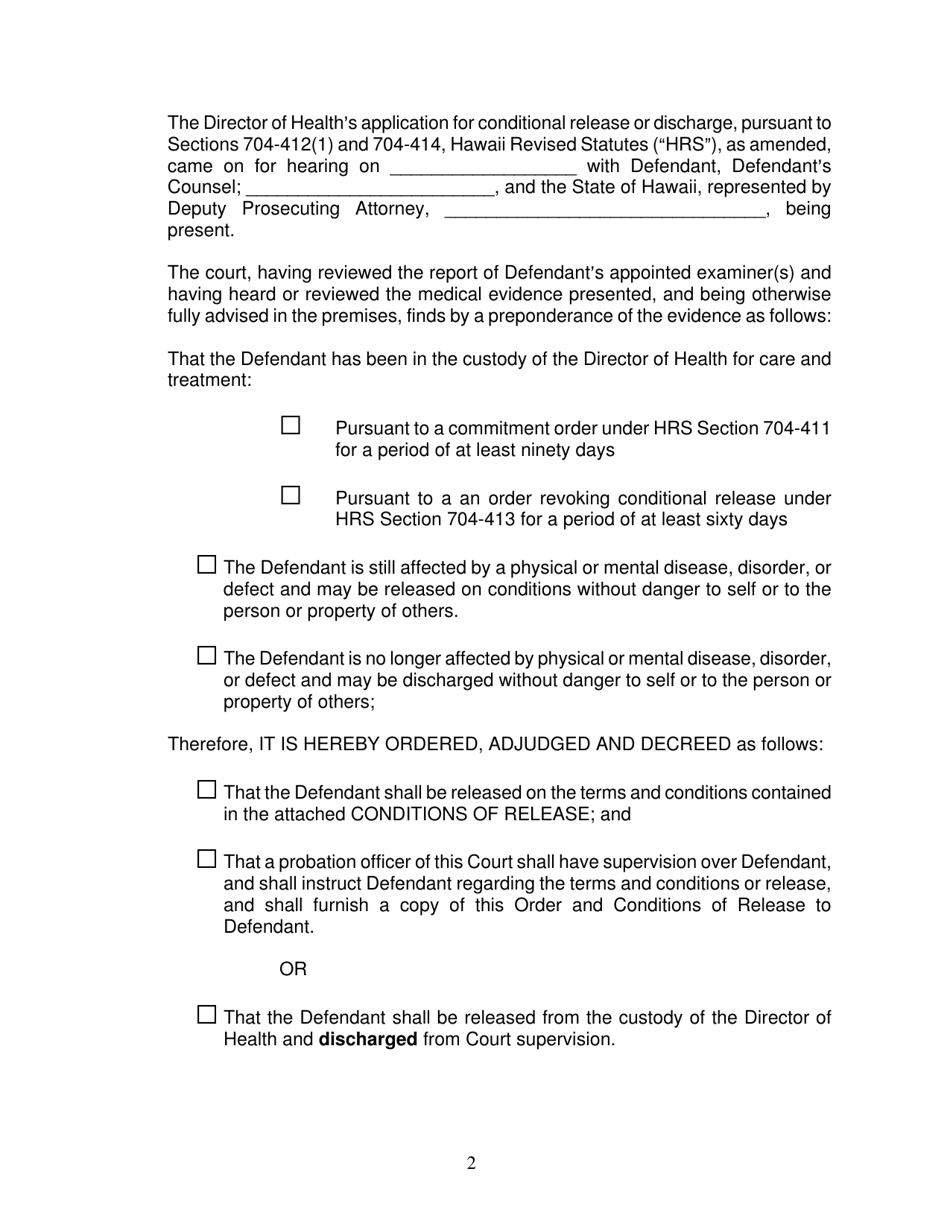
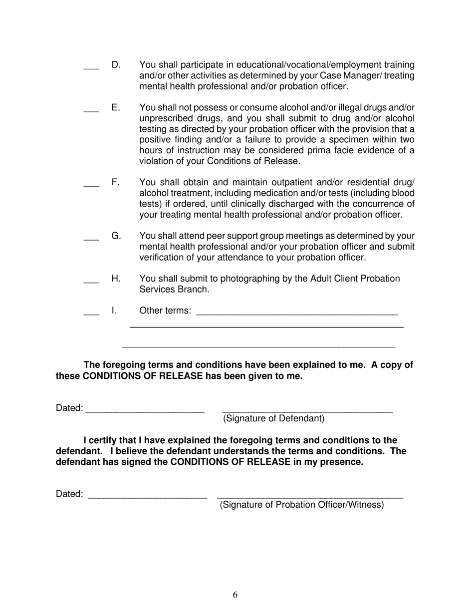
A: The purpose of Form KMH-9 is to grant the Director of Health's application for conditional release or discharge.

Q: Who can apply for conditional release or discharge using Form KMH-9?
A: The Director of Health can apply for conditional release or discharge using Form KMH-9.

Q: What is the significance of conditional release or discharge?
A: Conditional release or discharge allows individuals to be released from a mental health facility subject to certain conditions.

Q: What does Form KMH-9 indicate?
A: Form KMH-9 indicates that the application for conditional release or discharge has been granted.

Q: Which state uses Form KMH-9?
A: Form KMH-9 is used in the state of Hawaii.

ADVERTISEMENT

Form Details:

  • Released on December 1, 2018;
  • The latest edition provided by the Hawaii State Judiciary;
  • Easy to use and ready to print;
  • Quick to customize;
  • Compatible with most PDF-viewing applications;
  • Fill out the form in our online filing application.

Download a printable version of Form KMH-9 by clicking the link below or browse more documents and templates provided by the Hawaii State Judiciary.

Download Form KMH-9 Order Granting Director of Health Application for Conditional Release or Discharge - Hawaii

4.7 of 5 (27 votes)
  • Form KMH-9 Order Granting Director of Health Application for Conditional Release or Discharge - Hawaii

    1

  • Form KMH-9 Order Granting Director of Health Application for Conditional Release or Discharge - Hawaii, Page 2

    2

  • Form KMH-9 Order Granting Director of Health Application for Conditional Release or Discharge - Hawaii, Page 3

    3

  • Form KMH-9 Order Granting Director of Health Application for Conditional Release or Discharge - Hawaii, Page 4

    4

  • Form KMH-9 Order Granting Director of Health Application for Conditional Release or Discharge - Hawaii, Page 5

    5

  • Form KMH-9 Order Granting Director of Health Application for Conditional Release or Discharge - Hawaii, Page 6

    6

  • Form KMH-9 Order Granting Director of Health Application for Conditional Release or Discharge - Hawaii, Page 1
  • Form KMH-9 Order Granting Director of Health Application for Conditional Release or Discharge - Hawaii, Page 2
  • Form KMH-9 Order Granting Director of Health Application for Conditional Release or Discharge - Hawaii, Page 3
  • Form KMH-9 Order Granting Director of Health Application for Conditional Release or Discharge - Hawaii, Page 4
  • Form KMH-9 Order Granting Director of Health Application for Conditional Release or Discharge - Hawaii, Page 5
  • Form KMH-9 Order Granting Director of Health Application for Conditional Release or Discharge - Hawaii, Page 6
Prev 1 2 3 4 5 6 Next
ADVERTISEMENT

Related Documents