Form EQP5969 Water Supply Cross Connection Report for Systems Serving Only Residential Accounts - Michigan

Notification Icon This version of the form is not currently in use and is provided for reference only. Download this version of Form EQP5969 for the current year.

Form EQP5969 Water Supply Cross Connection Report for Systems Serving Only Residential Accounts - Michigan

What Is Form EQP5969?

This is a legal form that was released by the Michigan Department of Environment, Great Lakes, and Energy - a government authority operating within Michigan. As of today, no separate filing guidelines for the form are provided by the issuing department.

FAQ

Q: What is EQP5969?
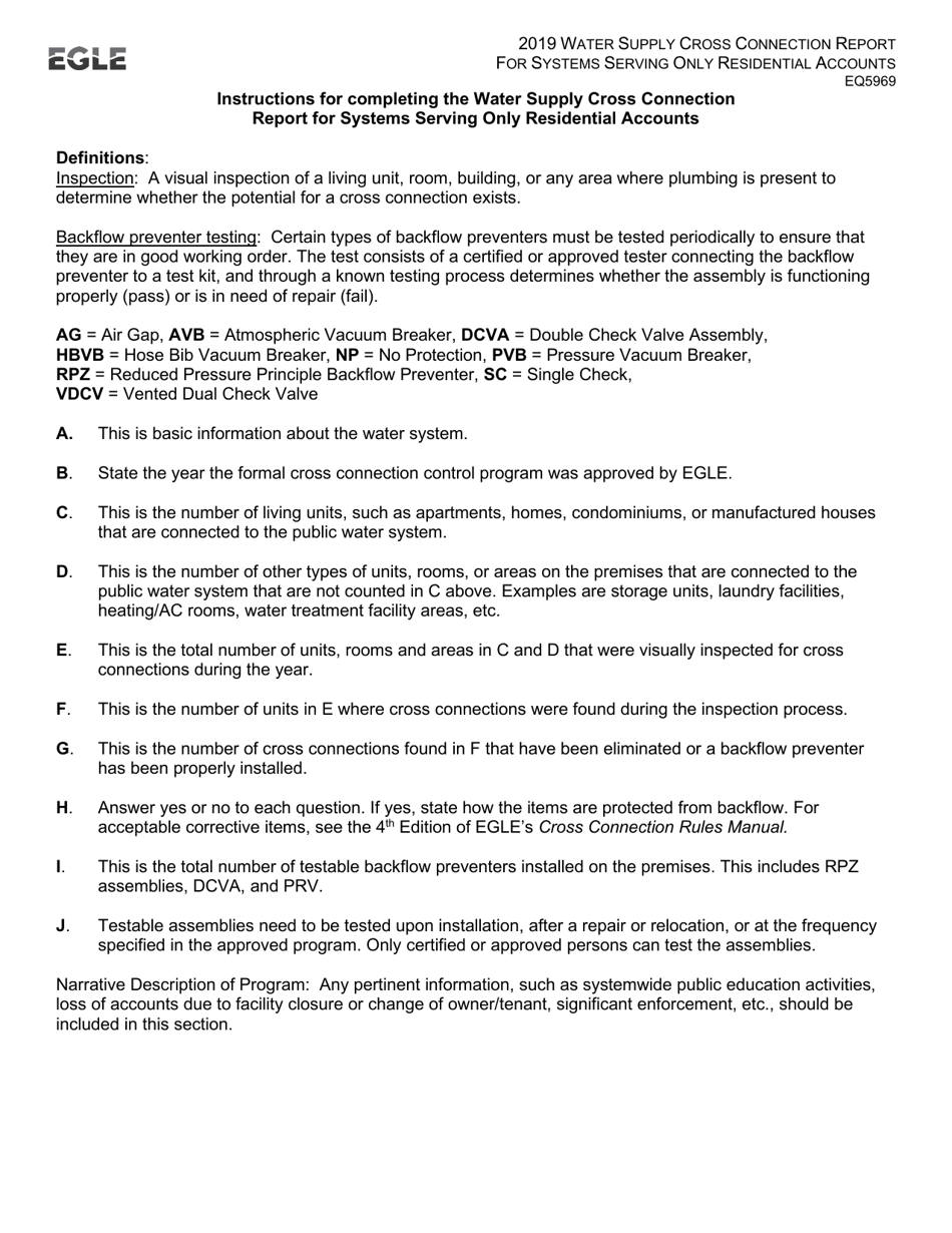
A: EQP5969 is a Water Supply Cross Connection Report form.

Q: What is the purpose of EQP5969?
A: The purpose of EQP5969 is to identify and address potential cross connection hazards in water supply systems serving only residential accounts in Michigan.

Q: Who needs to fill out EQP5969?
A: Water supply systems serving only residential accounts in Michigan need to fill out EQP5969.

Q: What is a cross connection?
A: A cross connection is a connection between a potable water supply and a non-potable source, which can contaminate the drinking water.

Q: Why is it important to address cross connections?
A: It is important to address cross connections to prevent the contamination of the drinking water supply.

Q: Are there any fees associated with submitting EQP5969?
A: There are no fees associated with submitting EQP5969.

Q: What information is required on EQP5969?
A: EQP5969 requires information about the water supply system, potential cross connection hazards, and measures taken to prevent contamination.

Q: Is it mandatory to fill out EQP5969?
A: Yes, it is mandatory for water supply systems serving only residential accounts in Michigan to fill out EQP5969.

Q: Are there any deadlines for submitting EQP5969?
A: The deadlines for submitting EQP5969 vary depending on the water supply system and are specified by the Michigan Department of Environment, Great Lakes, and Energy (EGLE).

ADVERTISEMENT

Form Details:

  • Released on April 1, 2020;
  • The latest edition provided by the Michigan Department of Environment, Great Lakes, and Energy;
  • Easy to use and ready to print;
  • Quick to customize;
  • Compatible with most PDF-viewing applications;
  • Fill out the form in our online filing application.

Download a printable version of Form EQP5969 by clicking the link below or browse more documents and templates provided by the Michigan Department of Environment, Great Lakes, and Energy.

Download Form EQP5969 Water Supply Cross Connection Report for Systems Serving Only Residential Accounts - Michigan

4.8 of 5 (17 votes)
  • Form EQP5969 Water Supply Cross Connection Report for Systems Serving Only Residential Accounts - Michigan

    1

  • Form EQP5969 Water Supply Cross Connection Report for Systems Serving Only Residential Accounts - Michigan, Page 2

    2

  • Form EQP5969 Water Supply Cross Connection Report for Systems Serving Only Residential Accounts - Michigan, Page 1
  • Form EQP5969 Water Supply Cross Connection Report for Systems Serving Only Residential Accounts - Michigan, Page 2
Prev 1 2 Next
ADVERTISEMENT