Form FL Divorce205 Petition to Invalidate (Annul) Marriage - Washington

Notification Icon This version of the form is not currently in use and is provided for reference only. Download this version of Form FL Divorce205 for the current year.

Form FL Divorce205 Petition to Invalidate (Annul) Marriage - Washington

What Is Form FL Divorce205?

This is a legal form that was released by the Washington Superior Court - a government authority operating within Washington. As of today, no separate filing guidelines for the form are provided by the issuing department.

FAQ

Q: What is Form FL Divorce205?
A: Form FL Divorce205 is a legal document in Washington that allows you to file a petition to invalidate or annul a marriage.

Q: What does it mean to invalidate or annul a marriage?
A: To invalidate or annul a marriage means to legally declare that the marriage is not legally valid or was never valid.

Q: Who can use Form FL Divorce205?
A: Anyone who wants to invalidate or annul their marriage in Washington can use Form FL Divorce205.

Q: How do I fill out Form FL Divorce205?
A: You need to provide detailed information about you and your spouse, the date of the marriage, reasons for seeking the invalidation, and other necessary details as instructed in the form.

Q: Do I need an attorney to file Form FL Divorce205?
A: While it's not required to have an attorney, it's recommended to consult with an attorney or seek legal advice when filing Form FL Divorce205 to ensure you're following the correct legal procedures.

Q: What happens after I file Form FL Divorce205?
A: After filing Form FL Divorce205, the court will review your petition and may schedule a hearing. The court will then decide whether to grant the request to invalidate or annul the marriage based on the provided information and evidence.

ADVERTISEMENT

Form Details:

  • Released on March 1, 2020;
  • The latest edition provided by the Washington Superior Court;
  • Easy to use and ready to print;
  • Quick to customize;
  • Compatible with most PDF-viewing applications;
  • Fill out the form in our online filing application.

Download a printable version of Form FL Divorce205 by clicking the link below or browse more documents and templates provided by the Washington Superior Court.

Download Form FL Divorce205 Petition to Invalidate (Annul) Marriage - Washington

4.5 of 5 (10 votes)
  • Form FL Divorce205 Petition to Invalidate (Annul) Marriage - Washington

    1

  • Form FL Divorce205 Petition to Invalidate (Annul) Marriage - Washington, Page 2

    2

  • Form FL Divorce205 Petition to Invalidate (Annul) Marriage - Washington, Page 3

    3

  • Form FL Divorce205 Petition to Invalidate (Annul) Marriage - Washington, Page 4

    4

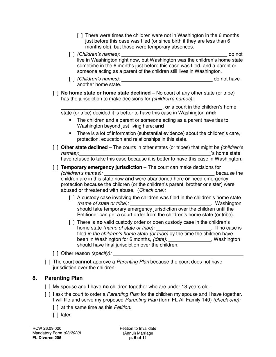
  • Form FL Divorce205 Petition to Invalidate (Annul) Marriage - Washington, Page 5

    5

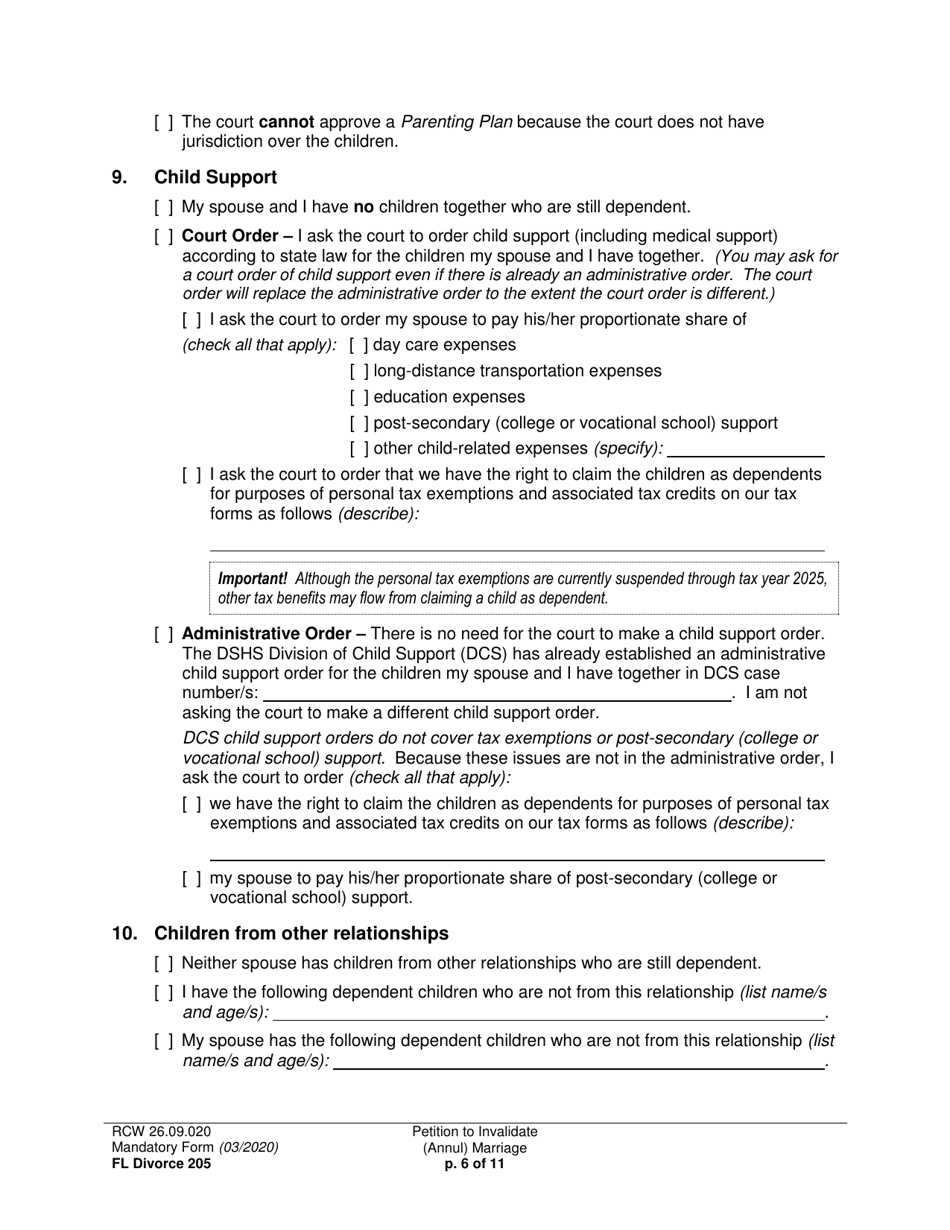
  • Form FL Divorce205 Petition to Invalidate (Annul) Marriage - Washington, Page 6

    6

  • Form FL Divorce205 Petition to Invalidate (Annul) Marriage - Washington, Page 7

    7

  • Form FL Divorce205 Petition to Invalidate (Annul) Marriage - Washington, Page 8

    8

  • Form FL Divorce205 Petition to Invalidate (Annul) Marriage - Washington, Page 9

    9

  • Form FL Divorce205 Petition to Invalidate (Annul) Marriage - Washington, Page 10

    10

  • Form FL Divorce205 Petition to Invalidate (Annul) Marriage - Washington, Page 11

    11

  • Form FL Divorce205 Petition to Invalidate (Annul) Marriage - Washington, Page 1
  • Form FL Divorce205 Petition to Invalidate (Annul) Marriage - Washington, Page 2
  • Form FL Divorce205 Petition to Invalidate (Annul) Marriage - Washington, Page 3
  • Form FL Divorce205 Petition to Invalidate (Annul) Marriage - Washington, Page 4
  • Form FL Divorce205 Petition to Invalidate (Annul) Marriage - Washington, Page 5
  • Form FL Divorce205 Petition to Invalidate (Annul) Marriage - Washington, Page 6
  • Form FL Divorce205 Petition to Invalidate (Annul) Marriage - Washington, Page 7
  • Form FL Divorce205 Petition to Invalidate (Annul) Marriage - Washington, Page 8
  • Form FL Divorce205 Petition to Invalidate (Annul) Marriage - Washington, Page 9
  • Form FL Divorce205 Petition to Invalidate (Annul) Marriage - Washington, Page 10
  • Form FL Divorce205 Petition to Invalidate (Annul) Marriage - Washington, Page 11
Prev 1 2 3 4 5 ... 11 Next
ADVERTISEMENT

Related Documents