Form FL Modify601 Petition to Change a Parenting Plan, Residential Schedule or Custody Order - Washington

Notification Icon This version of the form is not currently in use and is provided for reference only. Download this version of Form FL Modify601 for the current year.

Form FL Modify601 Petition to Change a Parenting Plan, Residential Schedule or Custody Order - Washington

What Is Form FL Modify601?

This is a legal form that was released by the Washington Superior Court - a government authority operating within Washington. As of today, no separate filing guidelines for the form are provided by the issuing department.

FAQ

Q: What is Form FL Modify601?
A: Form FL Modify601 is a petition to modify a parenting plan, residential schedule, or custody order in the state of Washington.

Q: When should I use Form FL Modify601?
A: You should use Form FL Modify601 when you want to request a change to a parenting plan, residential schedule, or custody order in Washington.

Q: What can I request to change using Form FL Modify601?
A: You can request changes to a parenting plan, residential schedule, or custody order using Form FL Modify601.

Q: What information do I need to complete Form FL Modify601?
A: To complete Form FL Modify601, you will need information about the existing parenting plan, residential schedule, or custody order you want to modify, as well as the changes you are requesting.

Q: Are there any filing fees for Form FL Modify601?
A: There may be filing fees for Form FL Modify601, but the amount can vary depending on the county in Washington where you file your petition. It is best to check with the local courthouse for the exact fees.

Q: Do I need to serve the other parent with Form FL Modify601?
A: Yes, you will need to serve the other parent with a copy of Form FL Modify601, along with any other required documents, according to the rules of service in Washington.

Q: What do I do after filing Form FL Modify601?
A: After you file Form FL Modify601, you will need to follow the procedures set forth by the Washington courts, which may include attending a hearing.

Q: Can I hire an attorney to help me with Form FL Modify601?
A: Yes, you can hire an attorney to assist you with Form FL Modify601, but it is not required. You can also choose to represent yourself.

Q: Is there a deadline for filing Form FL Modify601?
A: There is no specific deadline for filing Form FL Modify601, but it is best to file your petition as soon as you decide you want to request a change to the parenting plan, residential schedule, or custody order.

ADVERTISEMENT

Form Details:

  • Released on March 1, 2020;
  • The latest edition provided by the Washington Superior Court;
  • Easy to use and ready to print;
  • Available in Korean;
  • Quick to customize;
  • Compatible with most PDF-viewing applications;
  • Fill out the form in our online filing application.

Download a printable version of Form FL Modify601 by clicking the link below or browse more documents and templates provided by the Washington Superior Court.

Download Form FL Modify601 Petition to Change a Parenting Plan, Residential Schedule or Custody Order - Washington

4.5 of 5 (18 votes)
  • Form FL Modify601 Petition to Change a Parenting Plan, Residential Schedule or Custody Order - Washington

    1

  • Form FL Modify601 Petition to Change a Parenting Plan, Residential Schedule or Custody Order - Washington, Page 2

    2

  • Form FL Modify601 Petition to Change a Parenting Plan, Residential Schedule or Custody Order - Washington, Page 3

    3

  • Form FL Modify601 Petition to Change a Parenting Plan, Residential Schedule or Custody Order - Washington, Page 4

    4

  • Form FL Modify601 Petition to Change a Parenting Plan, Residential Schedule or Custody Order - Washington, Page 5

    5

  • Form FL Modify601 Petition to Change a Parenting Plan, Residential Schedule or Custody Order - Washington, Page 6

    6

  • Form FL Modify601 Petition to Change a Parenting Plan, Residential Schedule or Custody Order - Washington, Page 7

    7

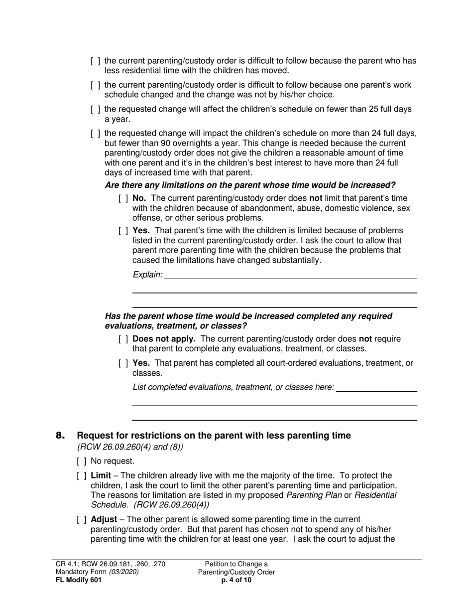
  • Form FL Modify601 Petition to Change a Parenting Plan, Residential Schedule or Custody Order - Washington, Page 8

    8

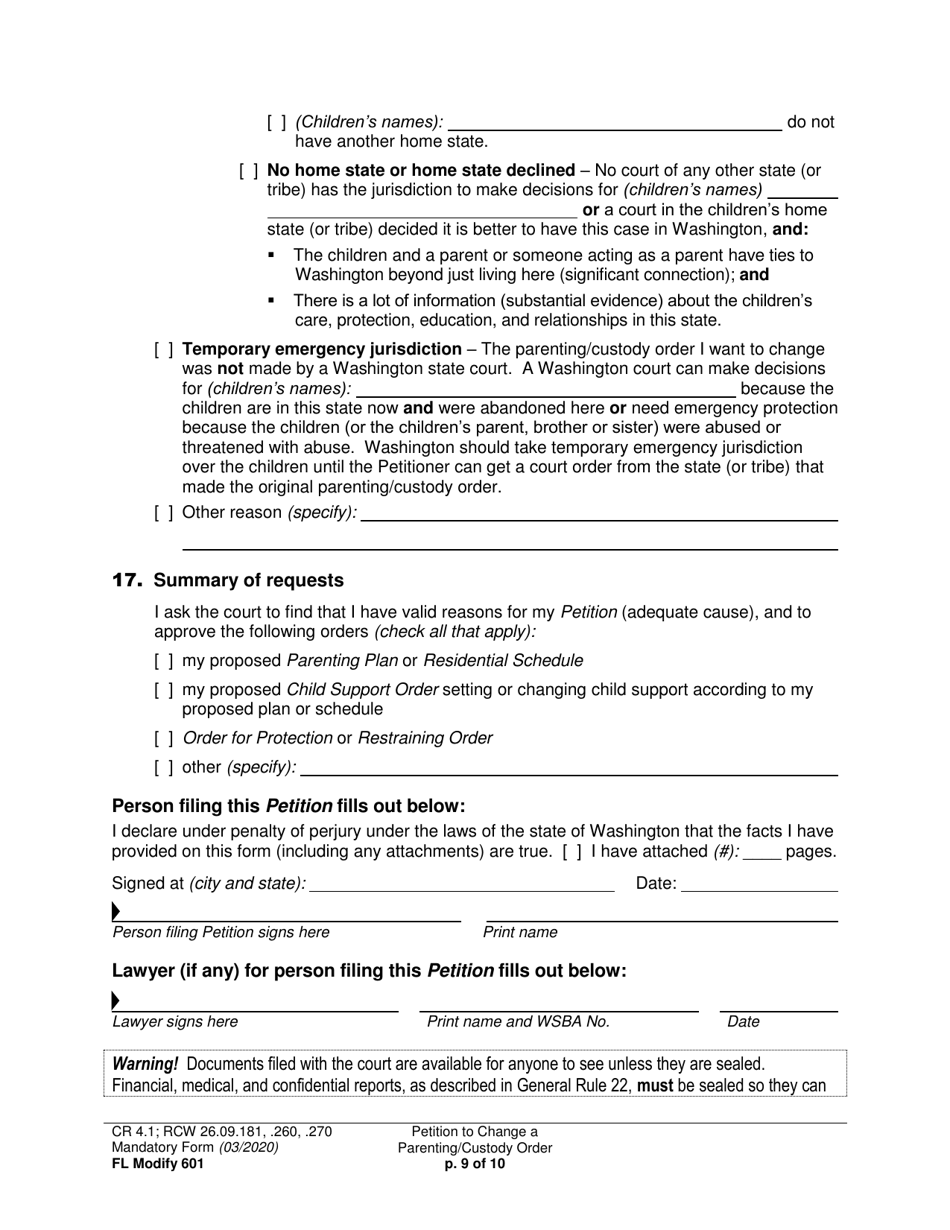
  • Form FL Modify601 Petition to Change a Parenting Plan, Residential Schedule or Custody Order - Washington, Page 9

    9

  • Form FL Modify601 Petition to Change a Parenting Plan, Residential Schedule or Custody Order - Washington, Page 10

    10

  • Form FL Modify601 Petition to Change a Parenting Plan, Residential Schedule or Custody Order - Washington, Page 1
  • Form FL Modify601 Petition to Change a Parenting Plan, Residential Schedule or Custody Order - Washington, Page 2
  • Form FL Modify601 Petition to Change a Parenting Plan, Residential Schedule or Custody Order - Washington, Page 3
  • Form FL Modify601 Petition to Change a Parenting Plan, Residential Schedule or Custody Order - Washington, Page 4
  • Form FL Modify601 Petition to Change a Parenting Plan, Residential Schedule or Custody Order - Washington, Page 5
  • Form FL Modify601 Petition to Change a Parenting Plan, Residential Schedule or Custody Order - Washington, Page 6
  • Form FL Modify601 Petition to Change a Parenting Plan, Residential Schedule or Custody Order - Washington, Page 7
  • Form FL Modify601 Petition to Change a Parenting Plan, Residential Schedule or Custody Order - Washington, Page 8
  • Form FL Modify601 Petition to Change a Parenting Plan, Residential Schedule or Custody Order - Washington, Page 9
  • Form FL Modify601 Petition to Change a Parenting Plan, Residential Schedule or Custody Order - Washington, Page 10
Prev 1 2 3 4 5 ... 10 Next
ADVERTISEMENT

Related Documents