Form 6104 Freestanding Emergency Medical Care Facility Incident Report - Texas

Notification Icon This version of the form is not currently in use and is provided for reference only. Download this version of Form 6104 for the current year.

Form 6104 Freestanding Emergency Medical Care Facility Incident Report - Texas

What Is Form 6104?

This is a legal form that was released by the Texas Health and Human Services - a government authority operating within Texas. As of today, no separate filing guidelines for the form are provided by the issuing department.

FAQ

Q: What is a Form 6104?
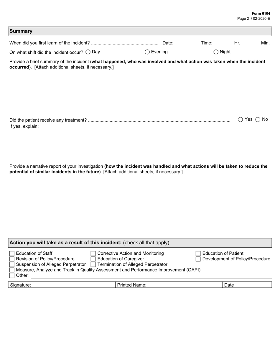
A: Form 6104 is an Incident Report for Freestanding Emergency Medical Care Facilities in Texas.

Q: Who needs to file Form 6104?
A: Freestanding Emergency Medical Care Facilities in Texas need to file Form 6104.

Q: What is the purpose of Form 6104?
A: The purpose of Form 6104 is to report incidents that occur at Freestanding Emergency Medical Care Facilities.

Q: What information is included in Form 6104?
A: Form 6104 includes details about the incident, including date, time, location, and a description of what occurred.

Q: How do I obtain a copy of Form 6104?
A: You can obtain a copy of Form 6104 from the Texas Department of State Health Services.

Q: Are there any deadlines for filing Form 6104?
A: Yes, Form 6104 must be filed within 7 days of the incident.

Q: Are there any fees associated with filing Form 6104?
A: No, there are no fees associated with filing Form 6104.

Q: What happens after I file Form 6104?
A: After filing Form 6104, the incident will be reviewed by the Texas Department of State Health Services.

ADVERTISEMENT

Form Details:

  • Released on February 1, 2020;
  • The latest edition provided by the Texas Health and Human Services;
  • Easy to use and ready to print;
  • Quick to customize;
  • Compatible with most PDF-viewing applications;
  • Fill out the form in our online filing application.

Download a fillable version of Form 6104 by clicking the link below or browse more documents and templates provided by the Texas Health and Human Services.

Download Form 6104 Freestanding Emergency Medical Care Facility Incident Report - Texas

4.5 of 5 (33 votes)
  • Form 6104 Freestanding Emergency Medical Care Facility Incident Report - Texas

    1

  • Form 6104 Freestanding Emergency Medical Care Facility Incident Report - Texas, Page 2

    2

  • Form 6104 Freestanding Emergency Medical Care Facility Incident Report - Texas, Page 1
  • Form 6104 Freestanding Emergency Medical Care Facility Incident Report - Texas, Page 2
Prev 1 2 Next
ADVERTISEMENT

Related Documents