Form 8006 Icf / Iid Comprehensive Nursing Assessment (Example Form) - Texas

Form 8006 Icf / Iid Comprehensive Nursing Assessment (Example Form) - Texas

What Is Form 8006?

This is a legal form that was released by the Texas Health and Human Services - a government authority operating within Texas. As of today, no separate filing guidelines for the form are provided by the issuing department.

FAQ

Q: What is Form 8006 Icf/Iid Comprehensive Nursing Assessment?
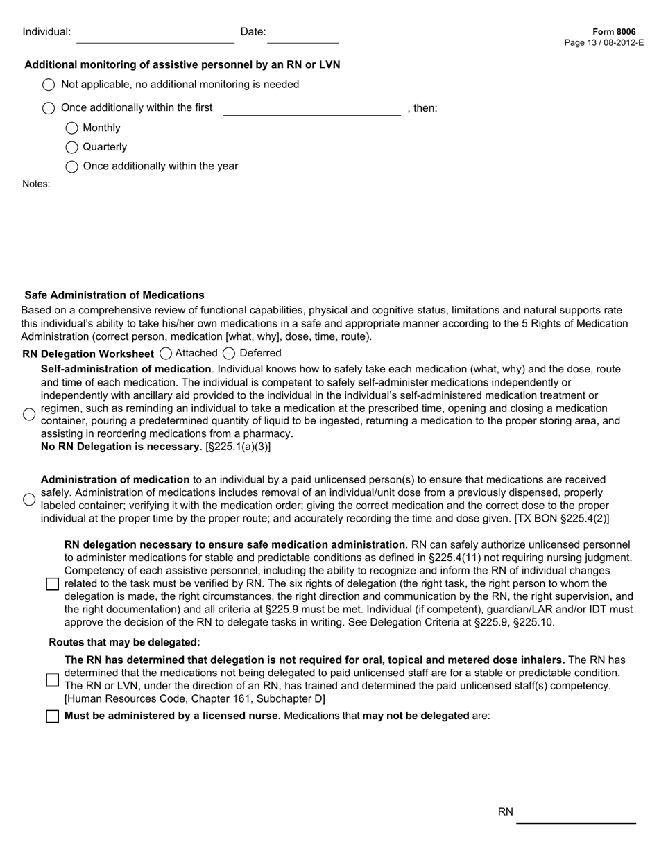
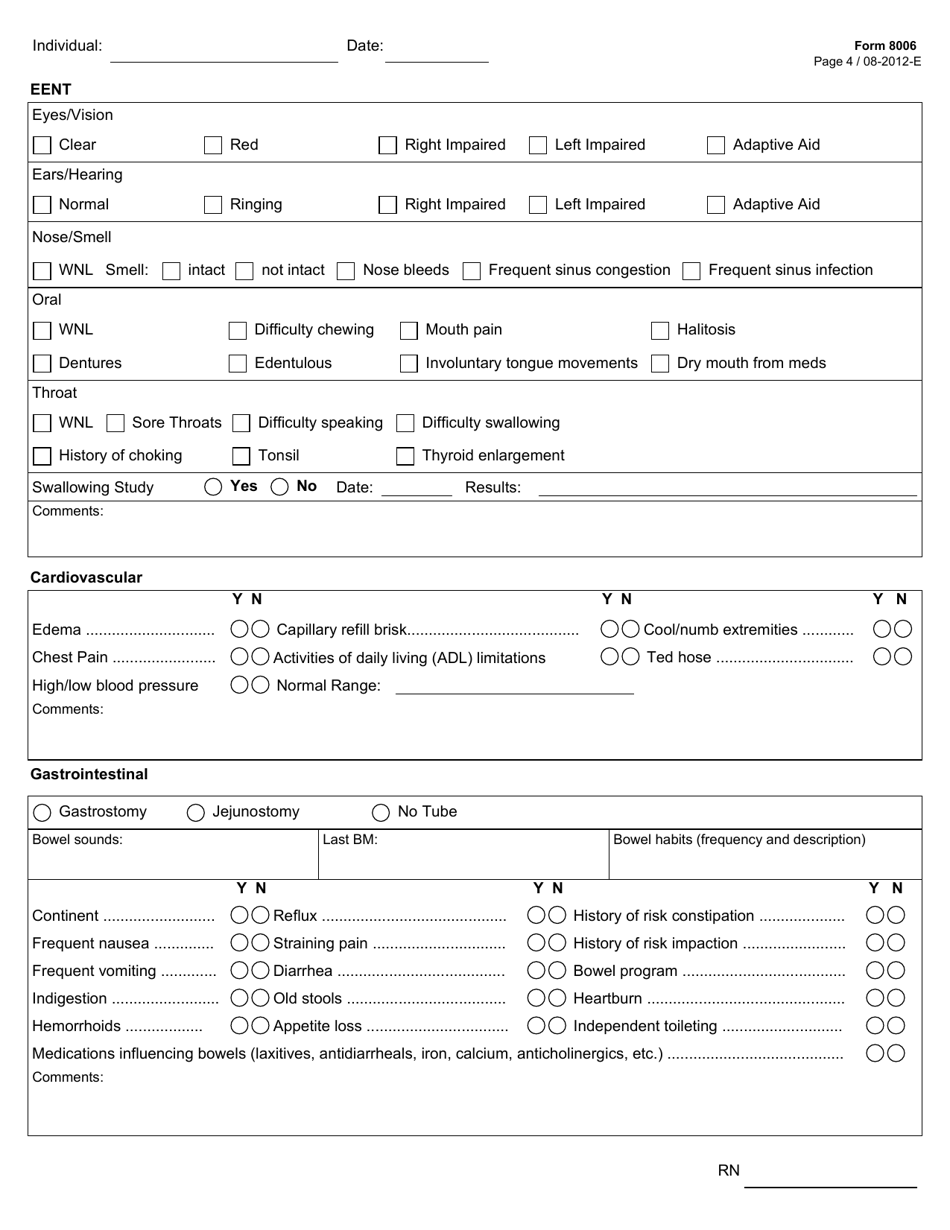
A: Form 8006 is a comprehensive nursing assessment form used for ICF/IID facilities in Texas.

Q: What does ICF/IID stand for?
A: ICF/IID stands for Intermediate Care Facility for Individuals with Intellectual Disabilities.

Q: Who uses Form 8006?
A: Form 8006 is used by nursing staff in ICF/IID facilities in Texas.

Q: What is the purpose of Form 8006?
A: The purpose of Form 8006 is to assess the nursing needs and overall health of individuals with intellectual disabilities residing in ICF/IID facilities.

Q: What information does Form 8006 capture?
A: Form 8006 captures information such as medical history, current health status, dietary needs, medication management, and activities of daily living.

Q: Is Form 8006 specific to Texas?
A: Yes, Form 8006 is specific to Texas and is used for ICF/IID facilities in the state.

ADVERTISEMENT

Form Details:

  • Released on August 1, 2012;
  • The latest edition provided by the Texas Health and Human Services;
  • Easy to use and ready to print;
  • Quick to customize;
  • Compatible with most PDF-viewing applications;
  • Fill out the form in our online filing application.

Download a fillable version of Form 8006 by clicking the link below or browse more documents and templates provided by the Texas Health and Human Services.

Download Form 8006 Icf / Iid Comprehensive Nursing Assessment (Example Form) - Texas

4.4 of 5 (33 votes)
  • Form 8006 Icf/Iid Comprehensive Nursing Assessment (Example Form) - Texas

    1

  • Form 8006 Icf/Iid Comprehensive Nursing Assessment (Example Form) - Texas, Page 2

    2

  • Form 8006 Icf/Iid Comprehensive Nursing Assessment (Example Form) - Texas, Page 3

    3

  • Form 8006 Icf/Iid Comprehensive Nursing Assessment (Example Form) - Texas, Page 4

    4

  • Form 8006 Icf/Iid Comprehensive Nursing Assessment (Example Form) - Texas, Page 5

    5

  • Form 8006 Icf/Iid Comprehensive Nursing Assessment (Example Form) - Texas, Page 6

    6

  • Form 8006 Icf/Iid Comprehensive Nursing Assessment (Example Form) - Texas, Page 7

    7

  • Form 8006 Icf/Iid Comprehensive Nursing Assessment (Example Form) - Texas, Page 8

    8

  • Form 8006 Icf/Iid Comprehensive Nursing Assessment (Example Form) - Texas, Page 9

    9

  • Form 8006 Icf/Iid Comprehensive Nursing Assessment (Example Form) - Texas, Page 10

    10

  • Form 8006 Icf/Iid Comprehensive Nursing Assessment (Example Form) - Texas, Page 11

    11

  • Form 8006 Icf/Iid Comprehensive Nursing Assessment (Example Form) - Texas, Page 12

    12

  • Form 8006 Icf/Iid Comprehensive Nursing Assessment (Example Form) - Texas, Page 13

    13

  • Form 8006 Icf/Iid Comprehensive Nursing Assessment (Example Form) - Texas, Page 14

    14

  • Form 8006 Icf / Iid Comprehensive Nursing Assessment (Example Form) - Texas, Page 1
  • Form 8006 Icf / Iid Comprehensive Nursing Assessment (Example Form) - Texas, Page 2
  • Form 8006 Icf / Iid Comprehensive Nursing Assessment (Example Form) - Texas, Page 3
  • Form 8006 Icf / Iid Comprehensive Nursing Assessment (Example Form) - Texas, Page 4
  • Form 8006 Icf / Iid Comprehensive Nursing Assessment (Example Form) - Texas, Page 5
  • Form 8006 Icf / Iid Comprehensive Nursing Assessment (Example Form) - Texas, Page 6
  • Form 8006 Icf / Iid Comprehensive Nursing Assessment (Example Form) - Texas, Page 7
  • Form 8006 Icf / Iid Comprehensive Nursing Assessment (Example Form) - Texas, Page 8
  • Form 8006 Icf / Iid Comprehensive Nursing Assessment (Example Form) - Texas, Page 9
  • Form 8006 Icf / Iid Comprehensive Nursing Assessment (Example Form) - Texas, Page 10
  • Form 8006 Icf / Iid Comprehensive Nursing Assessment (Example Form) - Texas, Page 11
  • Form 8006 Icf / Iid Comprehensive Nursing Assessment (Example Form) - Texas, Page 12
  • Form 8006 Icf / Iid Comprehensive Nursing Assessment (Example Form) - Texas, Page 13
  • Form 8006 Icf / Iid Comprehensive Nursing Assessment (Example Form) - Texas, Page 14
Prev 1 2 3 4 5 ... 14 Next
ADVERTISEMENT