Form VS112 Application for Certified Copy of Death Record - California

Notification Icon This version of the form is not currently in use and is provided for reference only. Download this version of Form VS112 for the current year.

Form VS112 Application for Certified Copy of Death Record - California

What Is Form VS112?

This is a legal form that was released by the California Department of Public Health - a government authority operating within California. As of today, no separate filing guidelines for the form are provided by the issuing department.

FAQ

Q: What is Form VS112?
A: Form VS112 is an application form used in California to request a certified copy of a death record.

Q: What is a certified copy of a death record?
A: A certified copy of a death record is an official copy of the death certificate that is issued by the state government.

Q: Who can use Form VS112?
A: Form VS112 can be used by individuals who are authorized to request a certified copy of a death record in California.

Q: How can I obtain Form VS112?
A: Form VS112 can be obtained from the California Department of Public Health or from the local county clerk's office.

Q: What information is required on Form VS112?
A: Form VS112 requires information such as the name of the deceased, the date and place of death, and the purpose for requesting the certified copy.

Q: Are there any fees associated with Form VS112?
A: Yes, there is a fee for obtaining a certified copy of a death record using Form VS112. The fee may vary depending on the county in California.

ADVERTISEMENT

Form Details:

  • Released on January 1, 2020;
  • The latest edition provided by the California Department of Public Health;
  • Easy to use and ready to print;
  • Available in Spanish;
  • Quick to customize;
  • Compatible with most PDF-viewing applications;
  • Fill out the form in our online filing application.

Download a fillable version of Form VS112 by clicking the link below or browse more documents and templates provided by the California Department of Public Health.

Download Form VS112 Application for Certified Copy of Death Record - California

4.5 of 5 (10 votes)
  • Form VS112 Application for Certified Copy of Death Record - California

    1

  • Form VS112 Application for Certified Copy of Death Record - California, Page 2

    2

  • Form VS112 Application for Certified Copy of Death Record - California, Page 3

    3

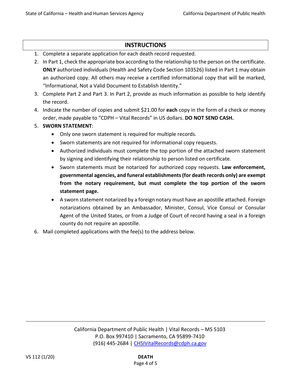
  • Form VS112 Application for Certified Copy of Death Record - California, Page 4

    4

  • Form VS112 Application for Certified Copy of Death Record - California, Page 5

    5

  • Form VS112 Application for Certified Copy of Death Record - California, Page 6

    6

  • Form VS112 Application for Certified Copy of Death Record - California, Page 7

    7

  • Form VS112 Application for Certified Copy of Death Record - California, Page 8

    8

  • Form VS112 Application for Certified Copy of Death Record - California, Page 1
  • Form VS112 Application for Certified Copy of Death Record - California, Page 2
  • Form VS112 Application for Certified Copy of Death Record - California, Page 3
  • Form VS112 Application for Certified Copy of Death Record - California, Page 4
  • Form VS112 Application for Certified Copy of Death Record - California, Page 5
  • Form VS112 Application for Certified Copy of Death Record - California, Page 6
  • Form VS112 Application for Certified Copy of Death Record - California, Page 7
  • Form VS112 Application for Certified Copy of Death Record - California, Page 8
Prev 1 2 3 4 5 ... 8 Next
ADVERTISEMENT

Related Documents