Form CALHR781 Dependent Eligibility Verification Checklist - California

Notification Icon This version of the form is not currently in use and is provided for reference only. Download this version of Form CALHR781 for the current year.

Form CALHR781 Dependent Eligibility Verification Checklist - California

What Is Form CALHR781?

This is a legal form that was released by the California Department of Human Resources - a government authority operating within California. As of today, no separate filing guidelines for the form are provided by the issuing department.

FAQ

Q: What is CALHR781 Dependent Eligibility Verification Checklist?
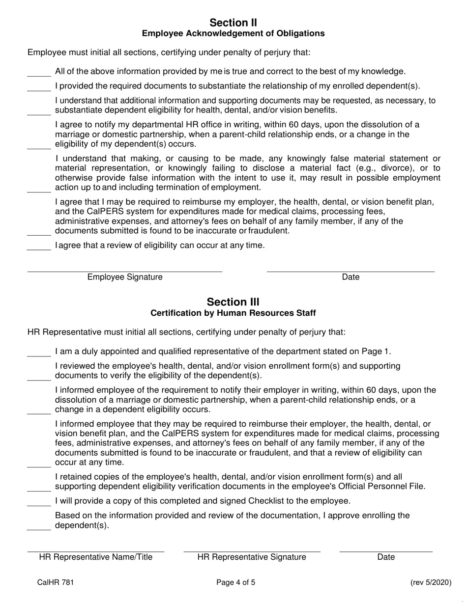
A: CALHR781 Dependent Eligibility Verification Checklist is a form used in California to verify the eligibility of dependents for employee benefits.

Q: Why is CALHR781 Dependent Eligibility Verification Checklist important?
A: CALHR781 Dependent Eligibility Verification Checklist is important to ensure that only eligible dependents are covered under employee benefits.

Q: Who needs to fill out CALHR781 Dependent Eligibility Verification Checklist?
A: Employees in California who have dependents and want to cover them under their employee benefits need to fill out CALHR781 Dependent Eligibility Verification Checklist.

Q: What information is required on CALHR781 Dependent Eligibility Verification Checklist?
A: CALHR781 Dependent Eligibility Verification Checklist requires information about the dependents, such as their names, dates of birth, and the relationship to the employee.

ADVERTISEMENT

Form Details:

  • Released on May 1, 2020;
  • The latest edition provided by the California Department of Human Resources;
  • Easy to use and ready to print;
  • Quick to customize;
  • Compatible with most PDF-viewing applications;
  • Fill out the form in our online filing application.

Download a fillable version of Form CALHR781 by clicking the link below or browse more documents and templates provided by the California Department of Human Resources.

Download Form CALHR781 Dependent Eligibility Verification Checklist - California

4.8 of 5 (33 votes)
  • Form CALHR781 Dependent Eligibility Verification Checklist - California

    1

  • Form CALHR781 Dependent Eligibility Verification Checklist - California, Page 2

    2

  • Form CALHR781 Dependent Eligibility Verification Checklist - California, Page 3

    3

  • Form CALHR781 Dependent Eligibility Verification Checklist - California, Page 4

    4

  • Form CALHR781 Dependent Eligibility Verification Checklist - California, Page 5

    5

  • Form CALHR781 Dependent Eligibility Verification Checklist - California, Page 1
  • Form CALHR781 Dependent Eligibility Verification Checklist - California, Page 2
  • Form CALHR781 Dependent Eligibility Verification Checklist - California, Page 3
  • Form CALHR781 Dependent Eligibility Verification Checklist - California, Page 4
  • Form CALHR781 Dependent Eligibility Verification Checklist - California, Page 5
Prev 1 2 3 4 5 Next
ADVERTISEMENT

Related Documents