Application for Transportation Network Service License - Pennsylvania

Notification Icon This version of the form is not currently in use and is provided for reference only. Download this version of the document for the current year.

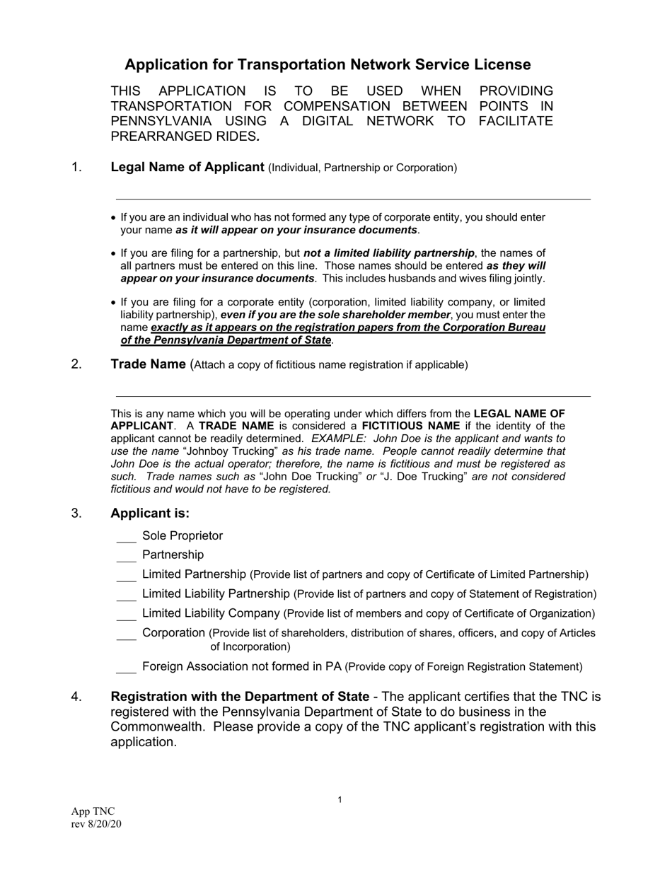
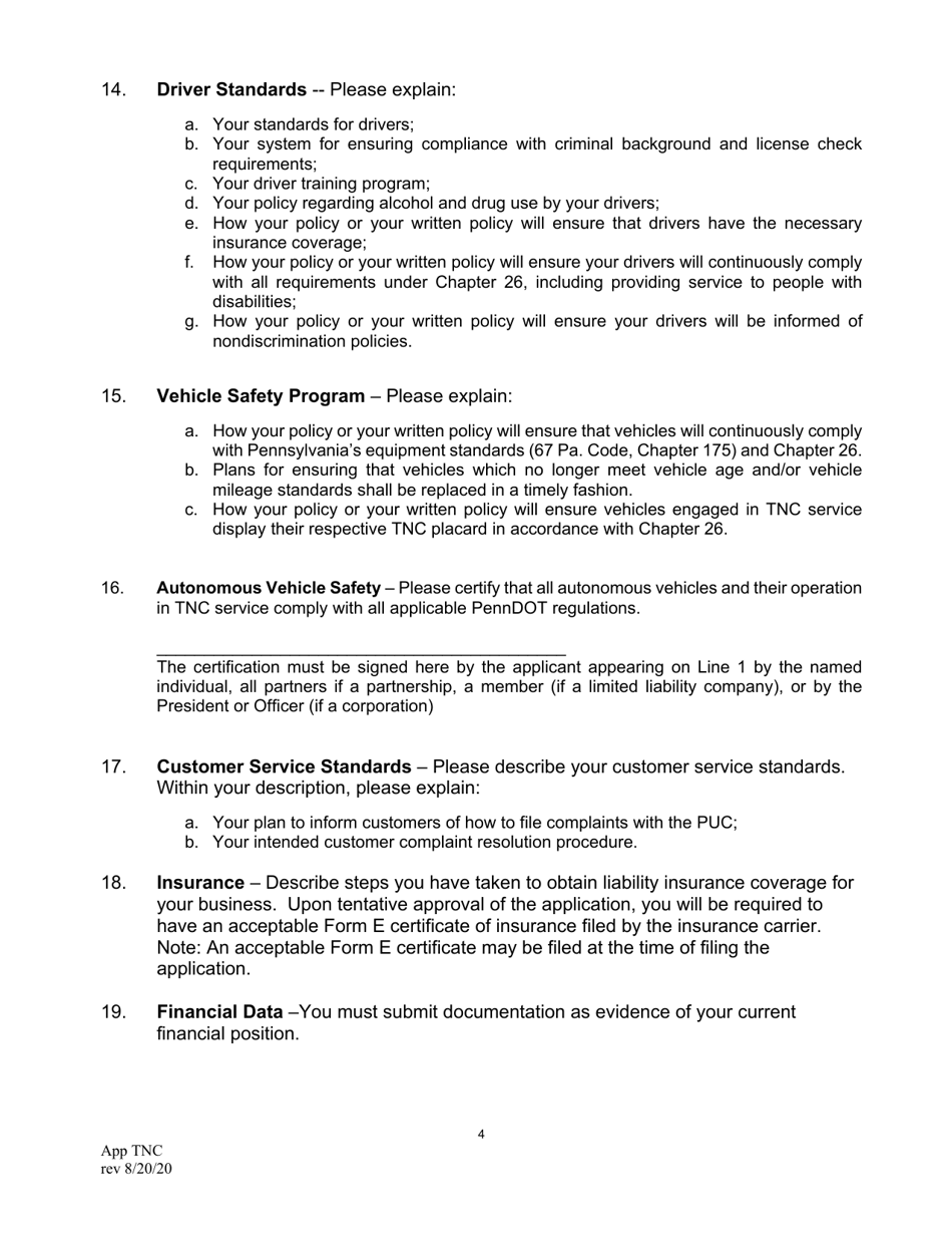
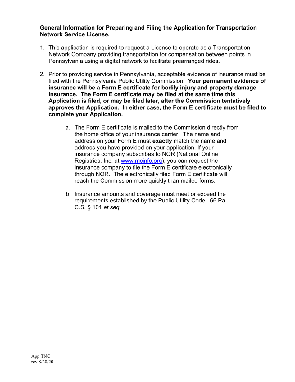
Application for Transportation Network Service License - Pennsylvania

Application for Transportation Network Service License is a legal document that was released by the Pennsylvania Public Utility Commission - a government authority operating within Pennsylvania.

FAQ

Q: What is a Transportation Network Service License?
A: A Transportation Network Service License is a permit that allows individuals or companies to provide transportation services using a digital platform, like a ridesharing app, in Pennsylvania.

Q: Who needs a Transportation Network Service License?
A: Any individual or company that wants to provide transportation services using a digital platform in Pennsylvania needs a Transportation Network Service License.

Q: How can I apply for a Transportation Network Service License?
A: You can apply for a Transportation Network Service License by contacting the Pennsylvania Public Utility Commission and submitting the required application and fees.

Q: What are the requirements for a Transportation Network Service License?
A: The requirements for a Transportation Network Service License in Pennsylvania include having a valid driver's license, vehicle insurance, and completing a background check.

Q: How long does it take to get a Transportation Network Service License?
A: The processing time for a Transportation Network Service License in Pennsylvania can vary, but it typically takes several weeks.

Q: Is there a fee for a Transportation Network Service License?
A: Yes, there is a fee for a Transportation Network Service License in Pennsylvania. The exact fee amount can be obtained from the Pennsylvania Public Utility Commission.

ADVERTISEMENT

Form Details:

  • Released on August 20, 2020;
  • The latest edition currently provided by the Pennsylvania Public Utility Commission;
  • Ready to use and print;
  • Easy to customize;
  • Compatible with most PDF-viewing applications;
  • Fill out the form in our online filing application.

Download a printable version of the form by clicking the link below or browse more documents and templates provided by the Pennsylvania Public Utility Commission.

Download Application for Transportation Network Service License - Pennsylvania

4.8 of 5 (18 votes)
  • Application for Transportation Network Service License - Pennsylvania

    1

  • Application for Transportation Network Service License - Pennsylvania, Page 2

    2

  • Application for Transportation Network Service License - Pennsylvania, Page 3

    3

  • Application for Transportation Network Service License - Pennsylvania, Page 4

    4

  • Application for Transportation Network Service License - Pennsylvania, Page 5

    5

  • Application for Transportation Network Service License - Pennsylvania, Page 6

    6

  • Application for Transportation Network Service License - Pennsylvania, Page 7

    7

  • Application for Transportation Network Service License - Pennsylvania, Page 1
  • Application for Transportation Network Service License - Pennsylvania, Page 2
  • Application for Transportation Network Service License - Pennsylvania, Page 3
  • Application for Transportation Network Service License - Pennsylvania, Page 4
  • Application for Transportation Network Service License - Pennsylvania, Page 5
  • Application for Transportation Network Service License - Pennsylvania, Page 6
  • Application for Transportation Network Service License - Pennsylvania, Page 7
Prev 1 2 3 4 5 ... 7 Next
ADVERTISEMENT

Related Documents