Form 622 Application for Registration of Corporate Name - Foreign Business Corporation - Rhode Island

Notification Icon This version of the form is not currently in use and is provided for reference only. Download this version of Form 622 for the current year.

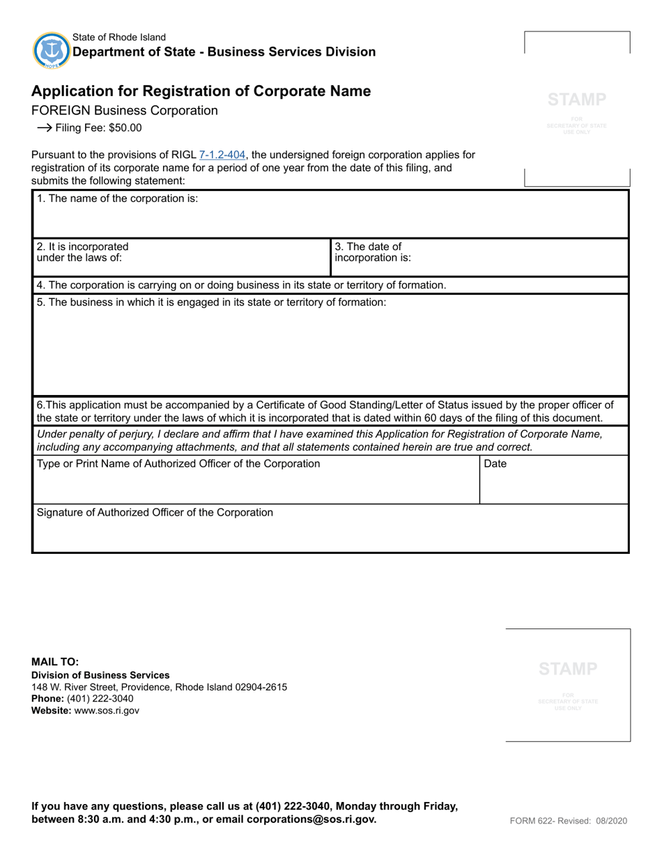
Form 622 Application for Registration of Corporate Name - Foreign Business Corporation - Rhode Island

What Is Form 622?

This is a legal form that was released by the Rhode Island Secretary of State - a government authority operating within Rhode Island. As of today, no separate filing guidelines for the form are provided by the issuing department.

FAQ

Q: What is Form 622?
A: Form 622 is an application for the registration of a corporate name for a foreign business corporation in Rhode Island.

Q: Who needs to file Form 622?
A: Foreign business corporations that want to register a corporate name in Rhode Island need to file Form 622.

Q: What information do I need to provide on Form 622?
A: You will need to provide the name and address of the foreign business corporation, as well as the proposed corporate name.

ADVERTISEMENT

Form Details:

  • Released on August 1, 2020;
  • The latest edition provided by the Rhode Island Secretary of State;
  • Easy to use and ready to print;
  • Quick to customize;
  • Compatible with most PDF-viewing applications;
  • Fill out the form in our online filing application.

Download a fillable version of Form 622 by clicking the link below or browse more documents and templates provided by the Rhode Island Secretary of State.

Download Form 622 Application for Registration of Corporate Name - Foreign Business Corporation - Rhode Island

4.4 of 5 (19 votes)
  • Form 622 Application for Registration of Corporate Name - Foreign Business Corporation - Rhode Island

    1

  • Form 622 Application for Registration of Corporate Name - Foreign Business Corporation - Rhode Island, Page 2

    2

  • Form 622 Application for Registration of Corporate Name - Foreign Business Corporation - Rhode Island, Page 3

    3

  • Form 622 Application for Registration of Corporate Name - Foreign Business Corporation - Rhode Island, Page 1
  • Form 622 Application for Registration of Corporate Name - Foreign Business Corporation - Rhode Island, Page 2
  • Form 622 Application for Registration of Corporate Name - Foreign Business Corporation - Rhode Island, Page 3
Prev 1 2 3 Next
ADVERTISEMENT

Related Documents