Form 154 Application for Certificate of Withdrawal for a Foreign Business Corporation - Rhode Island

Notification Icon This version of the form is not currently in use and is provided for reference only. Download this version of Form 154 for the current year.

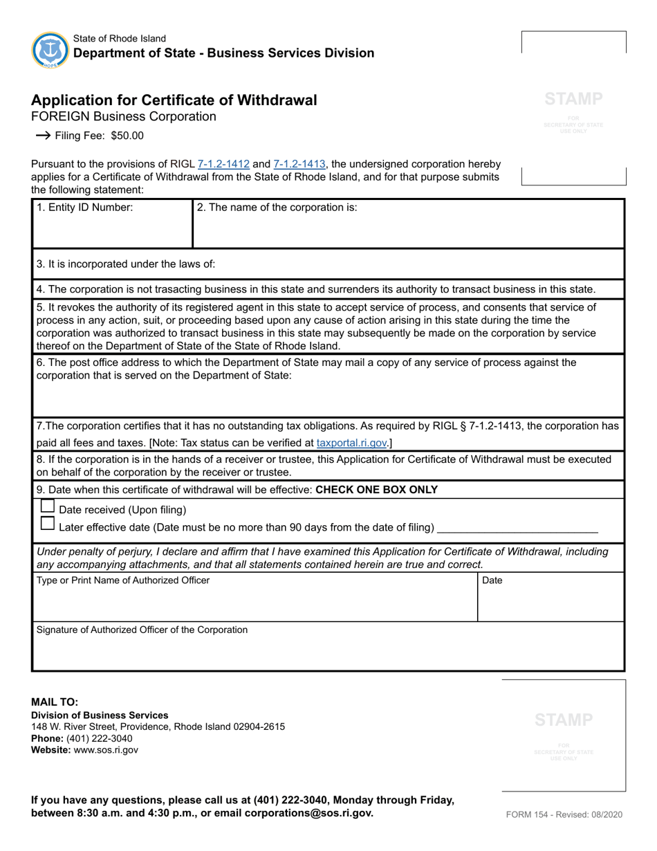
Form 154 Application for Certificate of Withdrawal for a Foreign Business Corporation - Rhode Island

What Is Form 154?

This is a legal form that was released by the Rhode Island Secretary of State - a government authority operating within Rhode Island. As of today, no separate filing guidelines for the form are provided by the issuing department.

FAQ

Q: What is Form 154?
A: Form 154 is the Application for Certificate of Withdrawal for a Foreign Business Corporation in Rhode Island.

Q: What is a Foreign Business Corporation?
A: A Foreign Business Corporation refers to a corporation that is incorporated in a different state or jurisdiction, carrying out business activities in Rhode Island.

Q: When is Form 154 used?
A: Form 154 is used when a Foreign Business Corporation wants to withdraw its registration and cease doing business in Rhode Island.

Q: What information is required in Form 154?
A: Form 154 requires information such as the name of the corporation, the state or country of incorporation, the reason for withdrawal, and the effective date of withdrawal.

Q: What happens after filing Form 154?
A: After filing Form 154, the Secretary of State will review the application and, if approved, issue a Certificate of Withdrawal to the Foreign Business Corporation.

Q: Is it necessary to file Form 154 if a Foreign Business Corporation wants to stop doing business in Rhode Island?
A: Yes, it is necessary for a Foreign Business Corporation to file Form 154 in order to officially withdraw its registration and cease doing business in Rhode Island.

ADVERTISEMENT

Form Details:

  • Released on August 1, 2020;
  • The latest edition provided by the Rhode Island Secretary of State;
  • Easy to use and ready to print;
  • Quick to customize;
  • Compatible with most PDF-viewing applications;
  • Fill out the form in our online filing application.

Download a fillable version of Form 154 by clicking the link below or browse more documents and templates provided by the Rhode Island Secretary of State.

Download Form 154 Application for Certificate of Withdrawal for a Foreign Business Corporation - Rhode Island

4.5 of 5 (28 votes)
  • Form 154 Application for Certificate of Withdrawal for a Foreign Business Corporation - Rhode Island

    1

  • Form 154 Application for Certificate of Withdrawal for a Foreign Business Corporation - Rhode Island, Page 2

    2

  • Form 154 Application for Certificate of Withdrawal for a Foreign Business Corporation - Rhode Island, Page 3

    3

  • Form 154 Application for Certificate of Withdrawal for a Foreign Business Corporation - Rhode Island, Page 1
  • Form 154 Application for Certificate of Withdrawal for a Foreign Business Corporation - Rhode Island, Page 2
  • Form 154 Application for Certificate of Withdrawal for a Foreign Business Corporation - Rhode Island, Page 3
Prev 1 2 3 Next
ADVERTISEMENT

Related Documents