Form HCS281 Application Instructions for a Home Care Organization License - California

Notification Icon This version of the form is not currently in use and is provided for reference only. Download this version of Form HCS281 for the current year.

Form HCS281 Application Instructions for a Home Care Organization License - California

What Is Form HCS281?

This is a legal form that was released by the California Department of Social Services - a government authority operating within California. As of today, no separate filing guidelines for the form are provided by the issuing department.

FAQ

Q: What is the HCS281 Application?
A: The HCS281 Application is the application form used to apply for a Home Care Organization License in California.

Q: What is a Home Care Organization?
A: A Home Care Organization is an agency or organization that provides non-medical services to individuals in their own homes.

Q: Do I need a license to operate a Home Care Organization in California?
A: Yes, you need to obtain a license from the California Department of Social Services to operate a Home Care Organization in California.

Q: What are the requirements to apply for a Home Care Organization License?
A: The requirements include submitting a completed HCS281 Application, providing proof of liability insurance, completing a criminal background check, and meeting certain staffing and training requirements.

Q: How long does the licensing process take?
A: The licensing process can take several months, depending on the completeness and accuracy of the application and the response time of the licensing agency.

Q: What fees are associated with the application?
A: The fees for the HCS281 Application include an application fee and an initial license fee. The exact amount of the fees may vary.

Q: Can I operate a Home Care Organization without a license?
A: No, operating a Home Care Organization without a license is illegal in California.

Q: Can I appeal a denial of my Home Care Organization License application?
A: Yes, you have the right to appeal a denial of your application. The specific appeal process will be outlined in the denial letter.

Q: What happens after I submit my application?
A: After you submit your application, it will be reviewed by the California Department of Social Services. They may request additional information or schedule an on-site inspection before making a decision on your application.

ADVERTISEMENT

Form Details:

  • Released on November 1, 2019;
  • The latest edition provided by the California Department of Social Services;
  • Easy to use and ready to print;
  • Quick to customize;
  • Compatible with most PDF-viewing applications;
  • Fill out the form in our online filing application.

Download a fillable version of Form HCS281 by clicking the link below or browse more documents and templates provided by the California Department of Social Services.

Download Form HCS281 Application Instructions for a Home Care Organization License - California

4.4 of 5 (16 votes)
  • Form HCS281 Application Instructions for a Home Care Organization License - California

    1

  • Form HCS281 Application Instructions for a Home Care Organization License - California, Page 2

    2

  • Form HCS281 Application Instructions for a Home Care Organization License - California, Page 3

    3

  • Form HCS281 Application Instructions for a Home Care Organization License - California, Page 4

    4

  • Form HCS281 Application Instructions for a Home Care Organization License - California, Page 5

    5

  • Form HCS281 Application Instructions for a Home Care Organization License - California, Page 6

    6

  • Form HCS281 Application Instructions for a Home Care Organization License - California, Page 7

    7

  • Form HCS281 Application Instructions for a Home Care Organization License - California, Page 8

    8

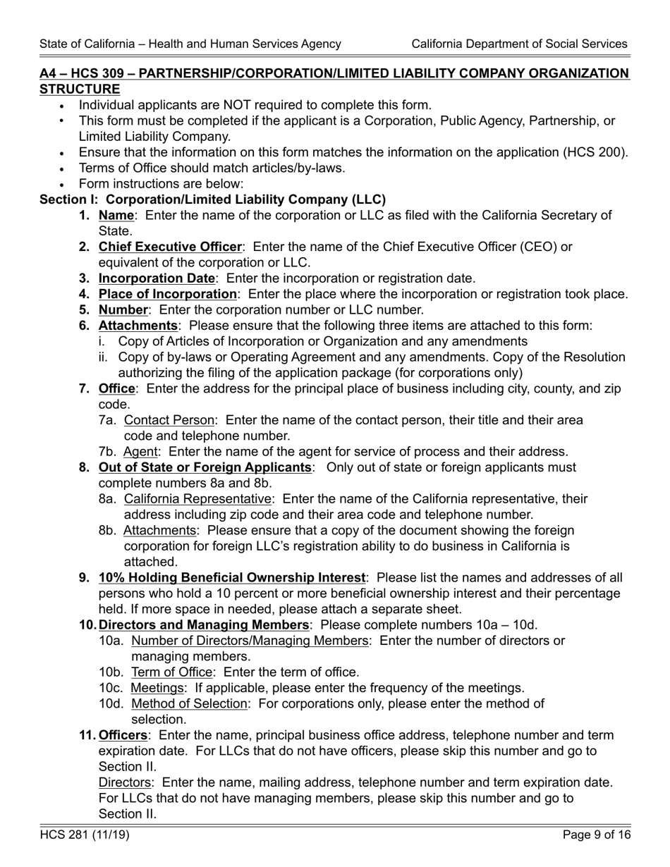
  • Form HCS281 Application Instructions for a Home Care Organization License - California, Page 9

    9

  • Form HCS281 Application Instructions for a Home Care Organization License - California, Page 10

    10

  • Form HCS281 Application Instructions for a Home Care Organization License - California, Page 11

    11

  • Form HCS281 Application Instructions for a Home Care Organization License - California, Page 12

    12

  • Form HCS281 Application Instructions for a Home Care Organization License - California, Page 13

    13

  • Form HCS281 Application Instructions for a Home Care Organization License - California, Page 14

    14

  • Form HCS281 Application Instructions for a Home Care Organization License - California, Page 15

    15

  • Form HCS281 Application Instructions for a Home Care Organization License - California, Page 16

    16

  • Form HCS281 Application Instructions for a Home Care Organization License - California, Page 1
  • Form HCS281 Application Instructions for a Home Care Organization License - California, Page 2
  • Form HCS281 Application Instructions for a Home Care Organization License - California, Page 3
  • Form HCS281 Application Instructions for a Home Care Organization License - California, Page 4
  • Form HCS281 Application Instructions for a Home Care Organization License - California, Page 5
  • Form HCS281 Application Instructions for a Home Care Organization License - California, Page 6
  • Form HCS281 Application Instructions for a Home Care Organization License - California, Page 7
  • Form HCS281 Application Instructions for a Home Care Organization License - California, Page 8
  • Form HCS281 Application Instructions for a Home Care Organization License - California, Page 9
  • Form HCS281 Application Instructions for a Home Care Organization License - California, Page 10
  • Form HCS281 Application Instructions for a Home Care Organization License - California, Page 11
  • Form HCS281 Application Instructions for a Home Care Organization License - California, Page 12
  • Form HCS281 Application Instructions for a Home Care Organization License - California, Page 13
  • Form HCS281 Application Instructions for a Home Care Organization License - California, Page 14
  • Form HCS281 Application Instructions for a Home Care Organization License - California, Page 15
  • Form HCS281 Application Instructions for a Home Care Organization License - California, Page 16
Prev 1 2 3 4 5 ... 16 Next
ADVERTISEMENT

Related Documents