Form DMS-744 Application for License to Conduct a Long Term Residential Care, Adult Day Care Facility, Adult Day Health Care or Post Acute Head Injury - Arkansas

Form DMS-744 Application for License to Conduct a Long Term Residential Care, Adult Day Care Facility, Adult Day Health Care or Post Acute Head Injury - Arkansas

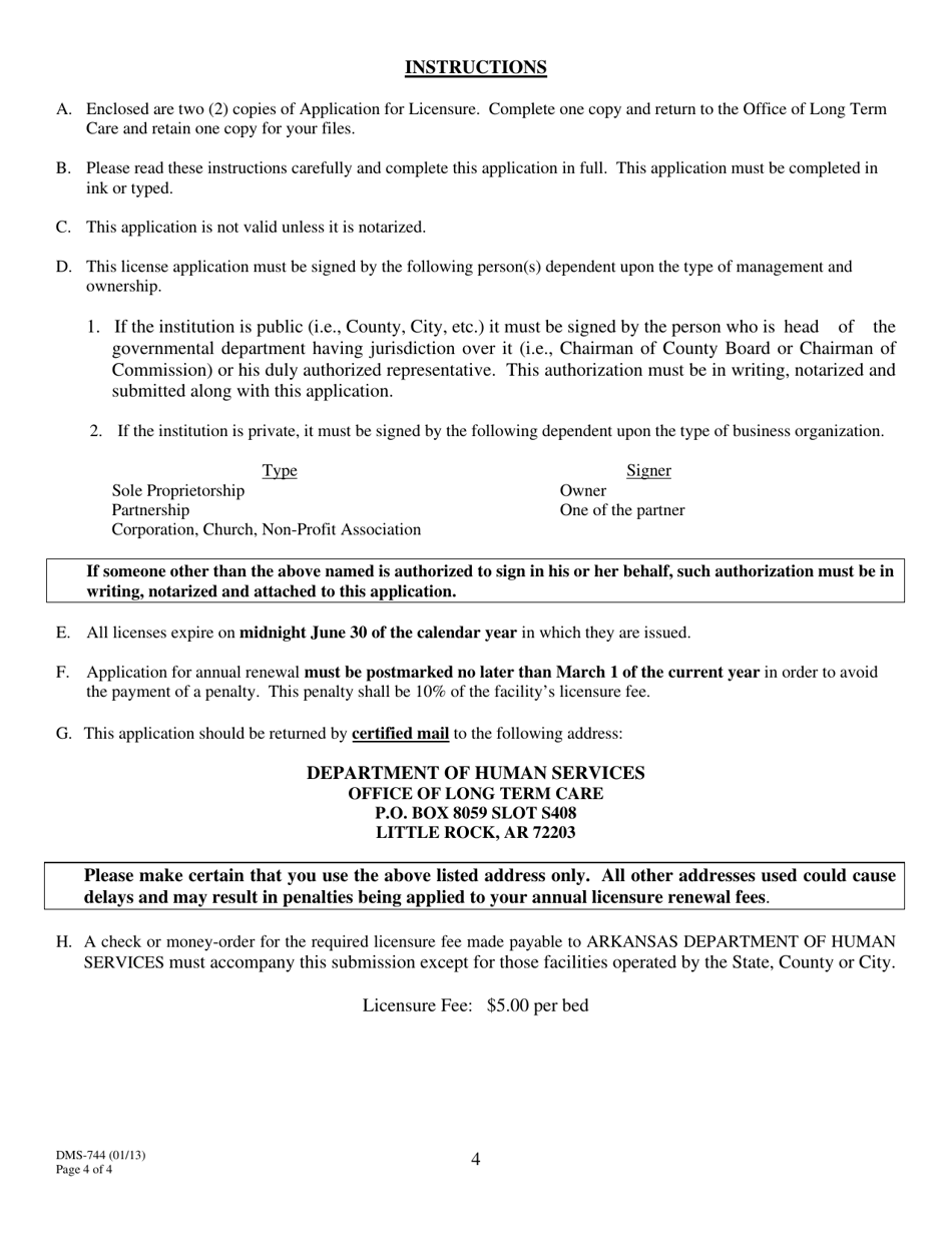
What Is Form DMS-744?

This is a legal form that was released by the Arkansas Department of Human Services - a government authority operating within Arkansas. As of today, no separate filing guidelines for the form are provided by the issuing department.

FAQ

Q: What is the purpose of the Form DMS-744?
A: The Form DMS-744 is used to apply for a license to operate a long termresidential care, adult day care facility, adult day health care, or post acute head injury program in Arkansas.

Q: Who needs to fill out the Form DMS-744?
A: Individuals or organizations planning to open and operate a long term residential care facility, adult day care facility, adult day health care, or post acute head injury program in Arkansas need to fill out the Form DMS-744.

Q: What information is required on the Form DMS-744?
A: The Form DMS-744 requires information about the applicant, including their name, address, contact information, and background checks for key individuals involved in the operation.

ADVERTISEMENT

Form Details:

  • Released on January 1, 2013;
  • The latest edition provided by the Arkansas Department of Human Services;
  • Easy to use and ready to print;
  • Quick to customize;
  • Compatible with most PDF-viewing applications;
  • Fill out the form in our online filing application.

Download a fillable version of Form DMS-744 by clicking the link below or browse more documents and templates provided by the Arkansas Department of Human Services.

Download Form DMS-744 Application for License to Conduct a Long Term Residential Care, Adult Day Care Facility, Adult Day Health Care or Post Acute Head Injury - Arkansas

4.6 of 5 (8 votes)
  • Form DMS-744 Application for License to Conduct a Long Term Residential Care, Adult Day Care Facility, Adult Day Health Care or Post Acute Head Injury - Arkansas

    1

  • Form DMS-744 Application for License to Conduct a Long Term Residential Care, Adult Day Care Facility, Adult Day Health Care or Post Acute Head Injury - Arkansas, Page 2

    2

  • Form DMS-744 Application for License to Conduct a Long Term Residential Care, Adult Day Care Facility, Adult Day Health Care or Post Acute Head Injury - Arkansas, Page 3

    3

  • Form DMS-744 Application for License to Conduct a Long Term Residential Care, Adult Day Care Facility, Adult Day Health Care or Post Acute Head Injury - Arkansas, Page 4

    4

  • Form DMS-744 Application for License to Conduct a Long Term Residential Care, Adult Day Care Facility, Adult Day Health Care or Post Acute Head Injury - Arkansas, Page 1
  • Form DMS-744 Application for License to Conduct a Long Term Residential Care, Adult Day Care Facility, Adult Day Health Care or Post Acute Head Injury - Arkansas, Page 2
  • Form DMS-744 Application for License to Conduct a Long Term Residential Care, Adult Day Care Facility, Adult Day Health Care or Post Acute Head Injury - Arkansas, Page 3
  • Form DMS-744 Application for License to Conduct a Long Term Residential Care, Adult Day Care Facility, Adult Day Health Care or Post Acute Head Injury - Arkansas, Page 4
Prev 1 2 3 4 Next
ADVERTISEMENT