Form DMS-803 Application for License to Conduct an Assisted Living Facility - Arkansas

Form DMS-803 Application for License to Conduct an Assisted Living Facility - Arkansas

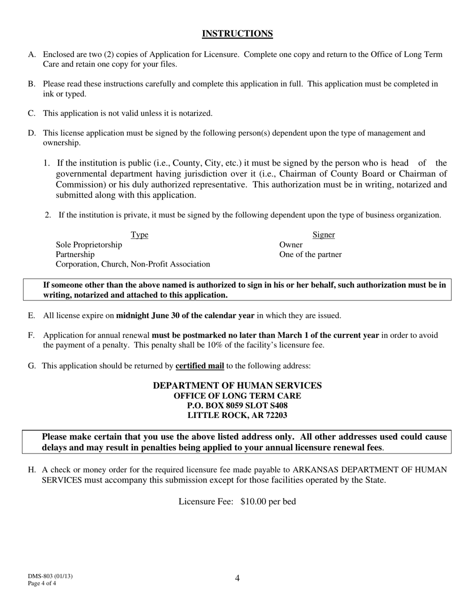
What Is Form DMS-803?

This is a legal form that was released by the Arkansas Department of Human Services - a government authority operating within Arkansas. As of today, no separate filing guidelines for the form are provided by the issuing department.

FAQ

Q: What is Form DMS-803?
A: Form DMS-803 is an application for a license to conduct an assisted living facility in Arkansas.

Q: What is an assisted living facility?
A: An assisted living facility is a residential living arrangement for elderly or disabled individuals who need assistance with daily activities.

Q: Why do I need a license to conduct an assisted living facility?
A: Obtaining a license ensures that the facility meets the required standards for the care and safety of its residents.

Q: What information is required on Form DMS-803?
A: Form DMS-803 requires information about the facility's ownership, management, staffing, and financial resources.

Q: How long does it take to process the application?
A: The processing time for the application can vary. It is best to contact the Arkansas Department of Human Services for an estimate.

Q: What happens after the application is approved?
A: After the application is approved, the facility will receive a license to conduct an assisted living facility in Arkansas.

ADVERTISEMENT

Form Details:

  • Released on January 1, 2013;
  • The latest edition provided by the Arkansas Department of Human Services;
  • Easy to use and ready to print;
  • Quick to customize;
  • Compatible with most PDF-viewing applications;
  • Fill out the form in our online filing application.

Download a fillable version of Form DMS-803 by clicking the link below or browse more documents and templates provided by the Arkansas Department of Human Services.

Download Form DMS-803 Application for License to Conduct an Assisted Living Facility - Arkansas

4.3 of 5 (22 votes)
  • Form DMS-803 Application for License to Conduct an Assisted Living Facility - Arkansas

    1

  • Form DMS-803 Application for License to Conduct an Assisted Living Facility - Arkansas, Page 2

    2

  • Form DMS-803 Application for License to Conduct an Assisted Living Facility - Arkansas, Page 3

    3

  • Form DMS-803 Application for License to Conduct an Assisted Living Facility - Arkansas, Page 4

    4

  • Form DMS-803 Application for License to Conduct an Assisted Living Facility - Arkansas, Page 1
  • Form DMS-803 Application for License to Conduct an Assisted Living Facility - Arkansas, Page 2
  • Form DMS-803 Application for License to Conduct an Assisted Living Facility - Arkansas, Page 3
  • Form DMS-803 Application for License to Conduct an Assisted Living Facility - Arkansas, Page 4
Prev 1 2 3 4 Next
ADVERTISEMENT