Form AAS-9582 Archoices in Homecare Provider Application - Arkansas

Form AAS-9582 Archoices in Homecare Provider Application - Arkansas

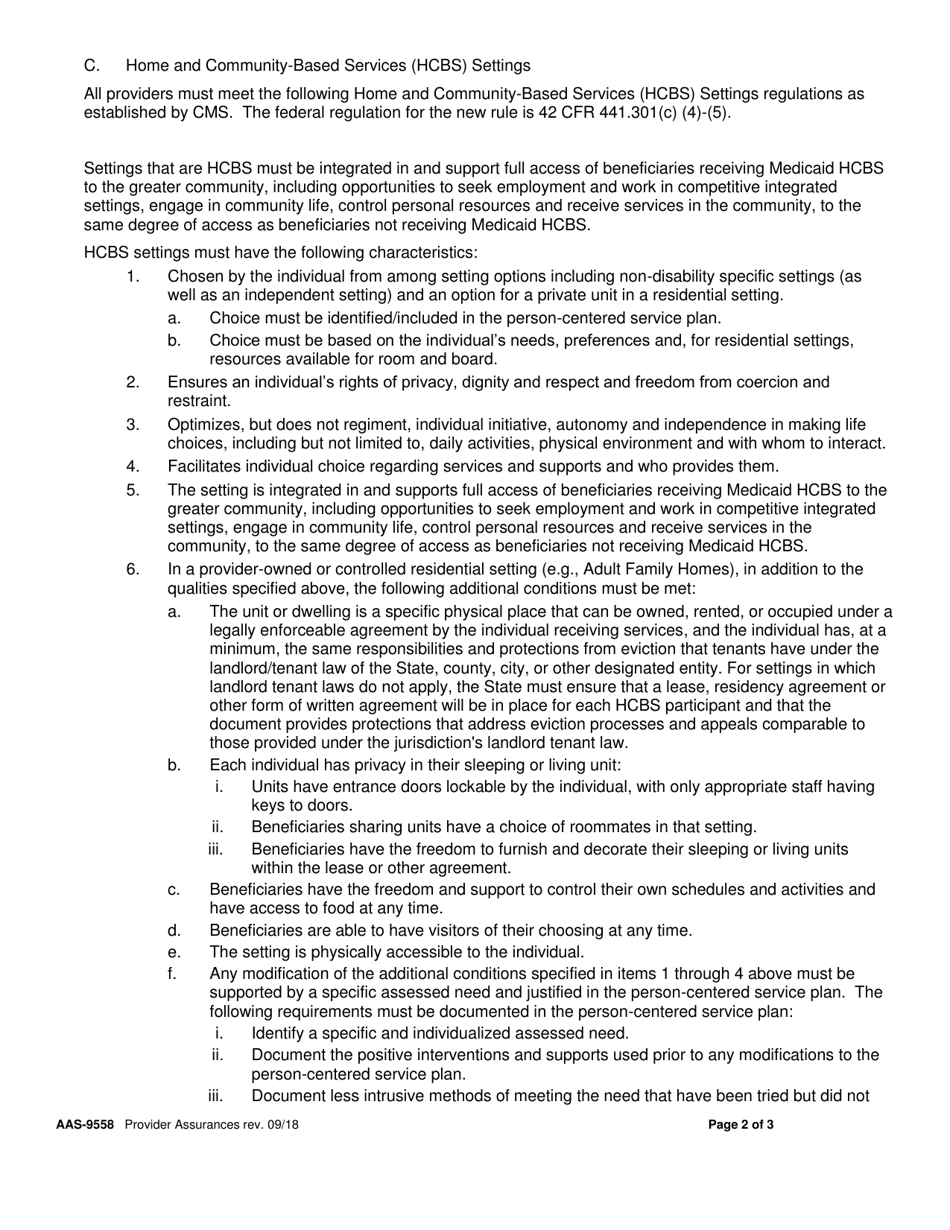
What Is Form AAS-9582?

This is a legal form that was released by the Arkansas Department of Human Services - a government authority operating within Arkansas. As of today, no separate filing guidelines for the form are provided by the issuing department.

FAQ

Q: What is the purpose of AAS-9582 Archoices in Homecare Provider Application?
A: The purpose of AAS-9582 Archoices in Homecare Provider Application is to apply to become a homecare provider under the Archoices program in Arkansas.

Q: What is the Archoices program?
A: The Archoices program is a program in Arkansas that provides in-home care services for elderly and disabled individuals.

Q: Who can apply to become a homecare provider under the Archoices program?
A: Anyone interested in providing in-home care services can apply to become a homecare provider under the Archoices program.

Q: What information do I need to provide in the Archoices homecare provider application?
A: The application will typically ask for information about your qualifications, experience, and references in providing homecare services.

Q: Is there a deadline to submit the Archoices homecare provider application?
A: The deadline for submitting the Archoices homecare provider application may vary, so it is important to check with the relevant Arkansas state agency or department for specific deadlines.

Q: What are the benefits of becoming a homecare provider under the Archoices program?
A: Becoming a homecare provider under the Archoices program allows you to offer essential in-home care services to elderly and disabled individuals while also receiving compensation for your services.

Q: Are there any eligibility requirements to become a homecare provider under the Archoices program?
A: Yes, there may be eligibility requirements such as background checks, training, and compliance with state regulations. These requirements can vary, so it is important to review the application and consult the relevant Arkansas state agency or department for specific eligibility criteria.

Q: How long does it take to become a homecare provider under the Archoices program?
A: The length of the process to become a homecare provider under the Archoices program can vary depending on factors such as the completeness of your application and the volume of applications being processed. It is recommended to check with the relevant Arkansas state agency or department for an estimated time frame.

Q: Can I apply to become a homecare provider if I have no prior experience in providing homecare services?
A: Yes, you can still apply to become a homecare provider under the Archoices program even if you have no prior experience in providing homecare services. However, the application may ask for information about your qualifications, skills, and willingness to undergo training.

ADVERTISEMENT

Form Details:

  • Released on September 1, 2018;
  • The latest edition provided by the Arkansas Department of Human Services;
  • Easy to use and ready to print;
  • Quick to customize;
  • Compatible with most PDF-viewing applications;
  • Fill out the form in our online filing application.

Download a fillable version of Form AAS-9582 by clicking the link below or browse more documents and templates provided by the Arkansas Department of Human Services.

Download Form AAS-9582 Archoices in Homecare Provider Application - Arkansas

4.8 of 5 (28 votes)
  • Form AAS-9582 Archoices in Homecare Provider Application - Arkansas

    1

  • Form AAS-9582 Archoices in Homecare Provider Application - Arkansas, Page 2

    2

  • Form AAS-9582 Archoices in Homecare Provider Application - Arkansas, Page 3

    3

  • Form AAS-9582 Archoices in Homecare Provider Application - Arkansas, Page 4

    4

  • Form AAS-9582 Archoices in Homecare Provider Application - Arkansas, Page 5

    5

  • Form AAS-9582 Archoices in Homecare Provider Application - Arkansas, Page 6

    6

  • Form AAS-9582 Archoices in Homecare Provider Application - Arkansas, Page 7

    7

  • Form AAS-9582 Archoices in Homecare Provider Application - Arkansas, Page 8

    8

  • Form AAS-9582 Archoices in Homecare Provider Application - Arkansas, Page 9

    9

  • Form AAS-9582 Archoices in Homecare Provider Application - Arkansas, Page 10

    10

  • Form AAS-9582 Archoices in Homecare Provider Application - Arkansas, Page 11

    11

  • Form AAS-9582 Archoices in Homecare Provider Application - Arkansas, Page 1
  • Form AAS-9582 Archoices in Homecare Provider Application - Arkansas, Page 2
  • Form AAS-9582 Archoices in Homecare Provider Application - Arkansas, Page 3
  • Form AAS-9582 Archoices in Homecare Provider Application - Arkansas, Page 4
  • Form AAS-9582 Archoices in Homecare Provider Application - Arkansas, Page 5
  • Form AAS-9582 Archoices in Homecare Provider Application - Arkansas, Page 6
  • Form AAS-9582 Archoices in Homecare Provider Application - Arkansas, Page 7
  • Form AAS-9582 Archoices in Homecare Provider Application - Arkansas, Page 8
  • Form AAS-9582 Archoices in Homecare Provider Application - Arkansas, Page 9
  • Form AAS-9582 Archoices in Homecare Provider Application - Arkansas, Page 10
  • Form AAS-9582 Archoices in Homecare Provider Application - Arkansas, Page 11
Prev 1 2 3 4 5 ... 11 Next
ADVERTISEMENT