Form AAS-9582 Targeted Case Management Provider Application - Arkansas

Form AAS-9582 Targeted Case Management Provider Application - Arkansas

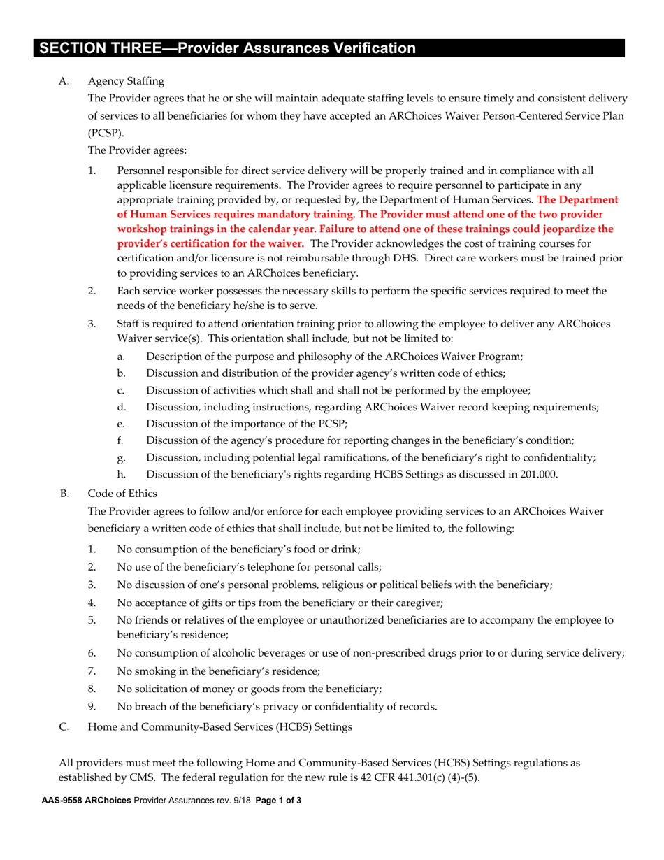
What Is Form AAS-9582?

This is a legal form that was released by the Arkansas Department of Human Services - a government authority operating within Arkansas. As of today, no separate filing guidelines for the form are provided by the issuing department.

FAQ

Q: What is Form AAS-9582?
A: Form AAS-9582 is the Targeted Case Management Provider Application in Arkansas.

Q: What is the purpose of Form AAS-9582?
A: The purpose of Form AAS-9582 is to apply to become a Targeted Case Management Provider in Arkansas.

Q: Who needs to fill out Form AAS-9582?
A: Those who want to become a Targeted Case Management Provider in Arkansas need to fill out Form AAS-9582.

Q: Are there any fees associated with Form AAS-9582?
A: Yes, there may be fees associated with Form AAS-9582. Please refer to the instructions or contact the Arkansas Department of Human Services for more information.

Q: What information is required on Form AAS-9582?
A: Form AAS-9582 requires information such as provider details, services offered, staffing plan, and more. Please refer to the form and instructions for a detailed list of requirements.

Q: How long does it take to process Form AAS-9582?
A: The processing time for Form AAS-9582 may vary. Please contact the Arkansas Department of Human Services for more information.

Q: What should I do if I need assistance with Form AAS-9582?
A: If you need assistance with Form AAS-9582, you can contact the Arkansas Department of Human Services for guidance and support.

Q: Are there any additional documents required with Form AAS-9582?
A: There may be additional documents required with Form AAS-9582. Please refer to the instructions or contact the Arkansas Department of Human Services for more information.

ADVERTISEMENT

Form Details:

  • Released on September 1, 2018;
  • The latest edition provided by the Arkansas Department of Human Services;
  • Easy to use and ready to print;
  • Quick to customize;
  • Compatible with most PDF-viewing applications;
  • Fill out the form in our online filing application.

Download a fillable version of Form AAS-9582 by clicking the link below or browse more documents and templates provided by the Arkansas Department of Human Services.

Download Form AAS-9582 Targeted Case Management Provider Application - Arkansas

4.6 of 5 (34 votes)
  • Form AAS-9582 Targeted Case Management Provider Application - Arkansas

    1

  • Form AAS-9582 Targeted Case Management Provider Application - Arkansas, Page 2

    2

  • Form AAS-9582 Targeted Case Management Provider Application - Arkansas, Page 3

    3

  • Form AAS-9582 Targeted Case Management Provider Application - Arkansas, Page 4

    4

  • Form AAS-9582 Targeted Case Management Provider Application - Arkansas, Page 5

    5

  • Form AAS-9582 Targeted Case Management Provider Application - Arkansas, Page 6

    6

  • Form AAS-9582 Targeted Case Management Provider Application - Arkansas, Page 7

    7

  • Form AAS-9582 Targeted Case Management Provider Application - Arkansas, Page 1
  • Form AAS-9582 Targeted Case Management Provider Application - Arkansas, Page 2
  • Form AAS-9582 Targeted Case Management Provider Application - Arkansas, Page 3
  • Form AAS-9582 Targeted Case Management Provider Application - Arkansas, Page 4
  • Form AAS-9582 Targeted Case Management Provider Application - Arkansas, Page 5
  • Form AAS-9582 Targeted Case Management Provider Application - Arkansas, Page 6
  • Form AAS-9582 Targeted Case Management Provider Application - Arkansas, Page 7
Prev 1 2 3 4 5 ... 7 Next
ADVERTISEMENT