Form AP1 Application to Change the Register - United Kingdom

Form AP1 Application to Change the Register - United Kingdom

What Is AP1 Form?

Form AP1, Application to Change the Register , is an official document completed by owners of the registered property or their representatives who wish to update the existing register once certain information changes. This form was issued by the United Kingdom HM Land Registry. The latest version of the document was released on April 1, 2020 , with all previous editions obsolete. Download a fillable AP1 Form through the link below.

Alternate Name:

  • Land Registry Form AP1.

Whether you want to correct your addresses and contact details of your agents, change your name or gender on the register, transfer property ownership if you sold your real estate or have given it away, or confirm you have finished paying off your mortgage, this is the application for you. Once the documentation is reviewed, you will be notified about the change in the register.

ADVERTISEMENT

How to Fill in Form AP1?

  1. Name the local authority that serves the property (a district council or a county borough) and record the title number of the property.
  2. Check the box to demonstrate whether the application affects the entire title or its part.
  3. State the names of all your applications and the number of fees you have to pay. Choose the method of payment. In certain cases, you can be exempt from paying Form AP1 fees (for instance, when you want to change the last name of the person recorded in the register). Record the price of the property or its value if there was no transfer.
  4. List the documents you have attached to the application - you are not required to provide original documentation, certified copies will be enough. Depending on the nature of the application, you need to enclose a cancellation of charges form, a marriage certificate, or some other document that confirms your statements.
  5. Write down your name. If you file on behalf of the company, indicate its name and registered number.
  6. Enter the contact information of the applicant and add the details of the third party that must be notified of the change.
  7. Check the box to confirm the postal address for further correspondence.
  8. In case you have transferred your property, name the individual or company that becomes its proprietor.
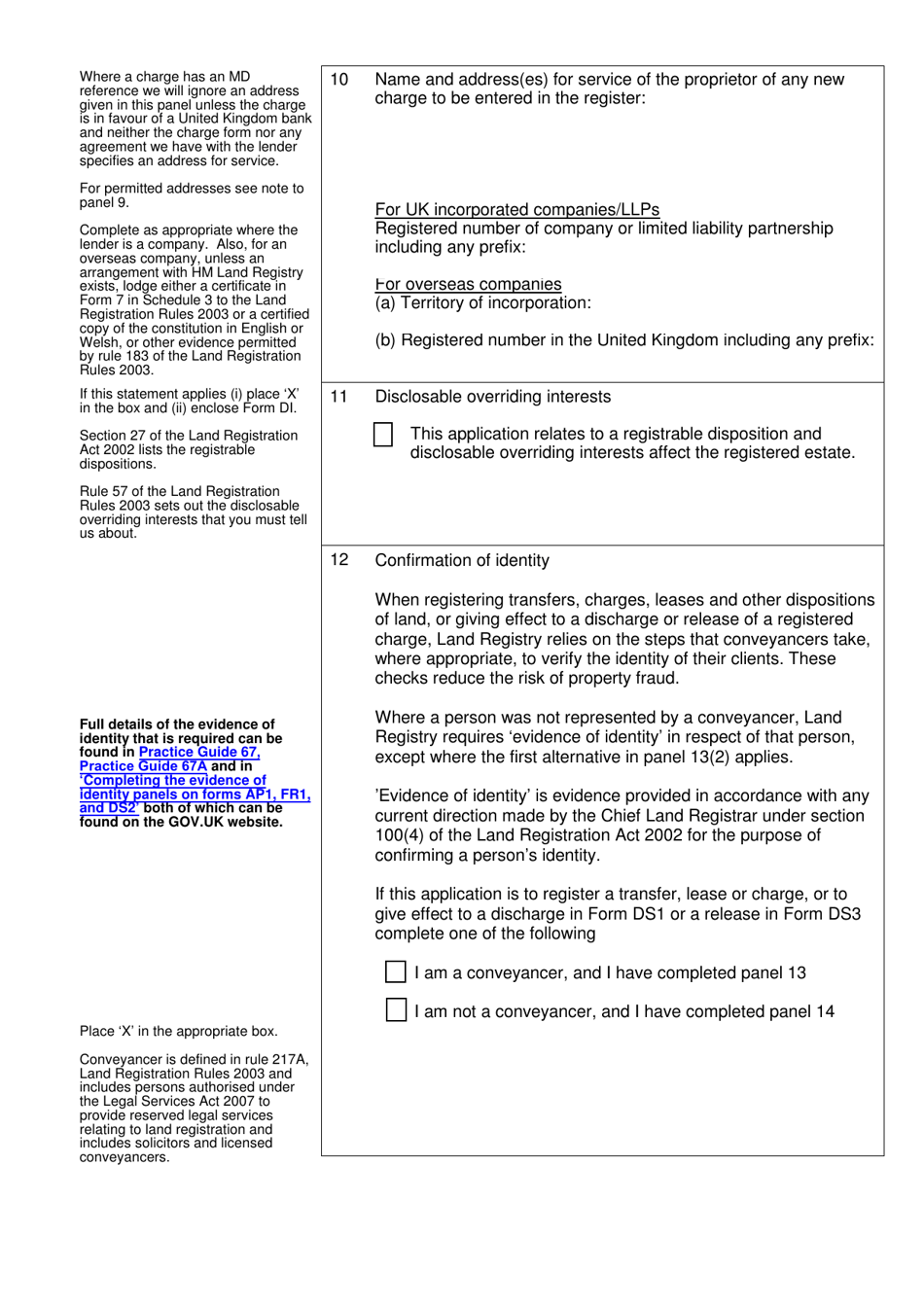
  9. If you are filing an application because of the registrable disposition, check the appropriate box. In case you are affected by certain interests - for example, leases, franchises, crown rents, or easements, - disclose them in the document.
  10. Confirm your identity. Since the application can be completed by the conveyancer (an individual authorized to provide legal services that involve land registration, they must share their own information and the details of their client).
  11. Name the person represented by the conveyancer (the landlord, tenant, transferor, transferee, lender, or borrower). State the name, address, and reference of the conveyancer.
  12. Certify the identity of the applicant has been verified and attach evidence of identity. Sign and date the form. It can be signed by one applicant, several applicants, or their conveyancer.

Where to Send an AP1 Form?

Form AP1 mailing address depends on your status. If you are a member of the public, mail the documentation to the HM Land Registry Citizen Centre, PO Box 74, Gloucester, GL14 9BB. If you are a business customer with a Royal Mail address, indicate the name of your local Land Registry office on the envelope after completing Form AP1 and submit the application to the HM Land Registry, PO Box 75, Gloucester, GL14 9BD.

Download Form AP1 Application to Change the Register - United Kingdom

4.5 of 5 (8 votes)
  • Form AP1 Application to Change the Register - United Kingdom

    1

  • Form AP1 Application to Change the Register - United Kingdom, Page 2

    2

  • Form AP1 Application to Change the Register - United Kingdom, Page 3

    3

  • Form AP1 Application to Change the Register - United Kingdom, Page 4

    4

  • Form AP1 Application to Change the Register - United Kingdom, Page 5

    5

  • Form AP1 Application to Change the Register - United Kingdom, Page 6

    6

  • Form AP1 Application to Change the Register - United Kingdom, Page 1
  • Form AP1 Application to Change the Register - United Kingdom, Page 2
  • Form AP1 Application to Change the Register - United Kingdom, Page 3
  • Form AP1 Application to Change the Register - United Kingdom, Page 4
  • Form AP1 Application to Change the Register - United Kingdom, Page 5
  • Form AP1 Application to Change the Register - United Kingdom, Page 6
Prev 1 2 3 4 5 6 Next
ADVERTISEMENT

Related Documents