Management Procedures Memorandum No. 2015-01 (Implementation of Omb Memorandum M-12-12 Section 3: Reduce the Footprint )

Management Procedures Memorandum No. 2015-01 (Implementation of Omb Memorandum M-12-12 Section 3: Reduce the Footprint )

Management Procedures Memorandum No. 2015-01 (Implementation of Omb Memorandum M-12-12 Section 3: Reduce the Footprint ) is a 9-page legal document that was released by the Executive Office of the President of the United States on March 25, 2015 and used nation-wide.

FAQ

Q: What is Management Procedures Memorandum No. 2015-01?
A: Management Procedures Memorandum No. 2015-01 is a document that outlines procedures for implementation of OMB Memorandum M-12-12 Section 3: Reduce the Footprint.

Q: What is OMB Memorandum M-12-12?
A: OMB Memorandum M-12-12 is a memorandum issued by the Office of Management and Budget that provides guidance and directives on reducing the physical footprint and improving energy efficiency in federal agencies.

Q: What does Section 3 of OMB Memorandum M-12-12 focus on?
A: Section 3 of OMB Memorandum M-12-12 focuses on reducing the physical footprint of federal agencies by consolidating and optimizing office space, reducing energy consumption, and improving sustainability practices.

Q: What is the purpose of Management Procedures Memorandum No. 2015-01?
A: The purpose of Management Procedures Memorandum No. 2015-01 is to provide specific procedures and guidelines for federal agencies to implement Section 3 of OMB Memorandum M-12-12.

Q: What are some key requirements outlined in Management Procedures Memorandum No. 2015-01?
A: Some key requirements outlined in Management Procedures Memorandum No. 2015-01 include conducting space utilization assessments, developing consolidation plans, adopting sustainable practices, and reporting progress to the Office of Management and Budget.

Q: Who is responsible for implementing Management Procedures Memorandum No. 2015-01?
A: Federal agencies are responsible for implementing Management Procedures Memorandum No. 2015-01 in accordance with the guidelines and requirements specified.

Q: Why is reducing the physical footprint important?
A: Reducing the physical footprint is important because it helps federal agencies save resources, improve energy efficiency, and reduce costs associated with office space and maintenance.

Q: What are the benefits of implementing the recommendations in OMB Memorandum M-12-12?
A: Implementing the recommendations in OMB Memorandum M-12-12 can lead to increased sustainability, cost savings, and improved efficiency in federal agencies.

Q: How can federal agencies ensure compliance with Management Procedures Memorandum No. 2015-01?
A: Federal agencies can ensure compliance with Management Procedures Memorandum No. 2015-01 by following the outlined procedures, conducting regular assessments, and reporting progress to the Office of Management and Budget.

ADVERTISEMENT

Form Details:

  • The latest edition currently provided by the Executive Office of the President of the United States;
  • Ready to use and print;
  • Easy to customize;
  • Compatible with most PDF-viewing applications;
  • Fill out the form in our online filing application.

Download a printable version of the form by clicking the link below or browse more legal forms and templates provided by the issuing department.

Download Management Procedures Memorandum No. 2015-01 (Implementation of Omb Memorandum M-12-12 Section 3: Reduce the Footprint )

4.4 of 5 (21 votes)
  • Management Procedures Memorandum No. 2015-01 (Implementation of Omb Memorandum M-12-12 Section 3: Reduce the Footprint )

    1

  • Management Procedures Memorandum No. 2015-01 (Implementation of Omb Memorandum M-12-12 Section 3: Reduce the Footprint ), Page 2

    2

  • Management Procedures Memorandum No. 2015-01 (Implementation of Omb Memorandum M-12-12 Section 3: Reduce the Footprint ), Page 3

    3

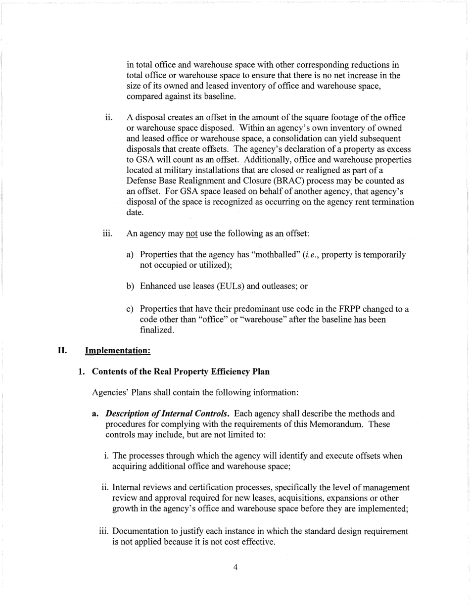
  • Management Procedures Memorandum No. 2015-01 (Implementation of Omb Memorandum M-12-12 Section 3: Reduce the Footprint ), Page 4

    4

  • Management Procedures Memorandum No. 2015-01 (Implementation of Omb Memorandum M-12-12 Section 3: Reduce the Footprint ), Page 5

    5

  • Management Procedures Memorandum No. 2015-01 (Implementation of Omb Memorandum M-12-12 Section 3: Reduce the Footprint ), Page 6

    6

  • Management Procedures Memorandum No. 2015-01 (Implementation of Omb Memorandum M-12-12 Section 3: Reduce the Footprint ), Page 7

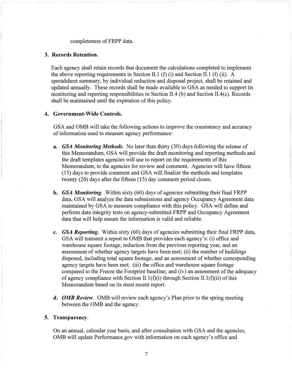
    7

  • Management Procedures Memorandum No. 2015-01 (Implementation of Omb Memorandum M-12-12 Section 3: Reduce the Footprint ), Page 8

    8

  • Management Procedures Memorandum No. 2015-01 (Implementation of Omb Memorandum M-12-12 Section 3: Reduce the Footprint ), Page 9

    9

  • Management Procedures Memorandum No. 2015-01 (Implementation of Omb Memorandum M-12-12 Section 3: Reduce the Footprint ), Page 1
  • Management Procedures Memorandum No. 2015-01 (Implementation of Omb Memorandum M-12-12 Section 3: Reduce the Footprint ), Page 2
  • Management Procedures Memorandum No. 2015-01 (Implementation of Omb Memorandum M-12-12 Section 3: Reduce the Footprint ), Page 3
  • Management Procedures Memorandum No. 2015-01 (Implementation of Omb Memorandum M-12-12 Section 3: Reduce the Footprint ), Page 4
  • Management Procedures Memorandum No. 2015-01 (Implementation of Omb Memorandum M-12-12 Section 3: Reduce the Footprint ), Page 5
  • Management Procedures Memorandum No. 2015-01 (Implementation of Omb Memorandum M-12-12 Section 3: Reduce the Footprint ), Page 6
  • Management Procedures Memorandum No. 2015-01 (Implementation of Omb Memorandum M-12-12 Section 3: Reduce the Footprint ), Page 7
  • Management Procedures Memorandum No. 2015-01 (Implementation of Omb Memorandum M-12-12 Section 3: Reduce the Footprint ), Page 8
  • Management Procedures Memorandum No. 2015-01 (Implementation of Omb Memorandum M-12-12 Section 3: Reduce the Footprint ), Page 9
Prev 1 2 3 4 5 ... 9 Next
ADVERTISEMENT