Municipal Solid Waste Transfer Facility Inspection Checklist - Ohio

Municipal Solid Waste Transfer Facility Inspection Checklist - Ohio

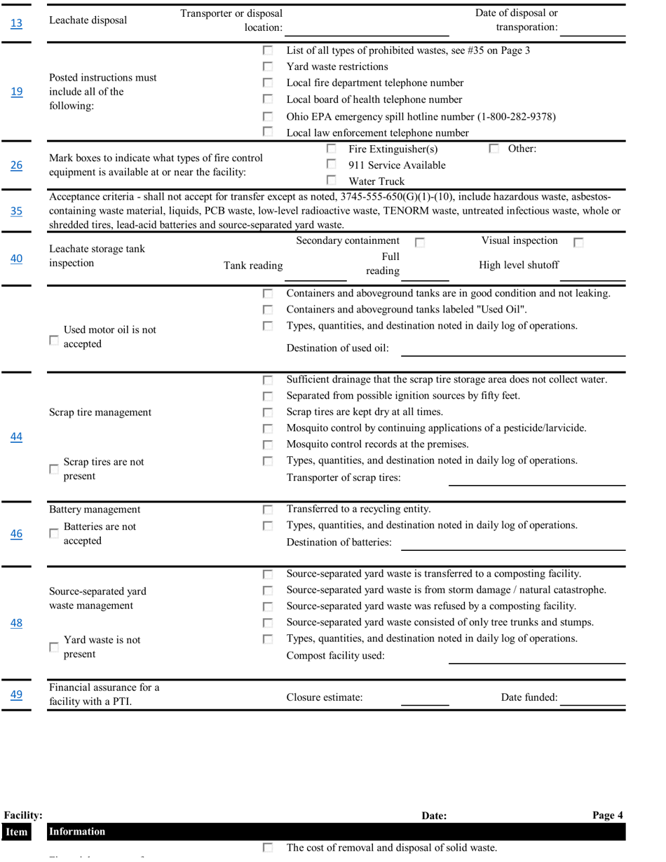
Municipal Facility Inspection Checklist is a legal document that was released by the Ohio Environmental Protection Agency - a government authority operating within Ohio.

FAQ

Q: What is a Municipal Solid Waste Transfer Facility?
A: A Municipal Solid Waste Transfer Facility is a location where waste is transferred from smaller collection vehicles to larger haulage trucks for transportation to a disposal facility.

Q: Why are inspections conducted at Municipal Solid Waste Transfer Facilities in Ohio?
A: Inspections are conducted to ensure compliance with environmental regulations and to assess the facility's operation and management practices.

Q: Who conducts inspections at Municipal Solid Waste Transfer Facilities in Ohio?
A: Inspections are conducted by the Ohio Environmental Protection Agency (Ohio EPA) or delegated local health districts.

Q: What are some of the items inspected during a Municipal Solid Waste Transfer Facility inspection?
A: Some items that may be inspected include equipment, storage areas, waste handling practices, record keeping, and stormwater management.

Q: What are the consequences of non-compliance with inspection requirements?
A: Non-compliance can result in penalties, fines, or enforcement actions by the Ohio EPA.

Q: Are there specific regulations that Municipal Solid Waste Transfer Facilities in Ohio must comply with?
A: Yes, Municipal Solid Waste Transfer Facilities in Ohio must comply with regulations outlined in Ohio Administrative Code (OAC) Chapter 3745-27.

Q: Can Municipal Solid Waste Transfer Facilities be fined or shutdown for violations?
A: Yes, if a facility is found to be in violation of regulations, it can be subject to fines, penalties, or even shutdown if necessary to protect public health and the environment.

Q: How often are Municipal Solid Waste Transfer Facilities inspected in Ohio?
A: Inspection frequencies vary, but Ohio EPA performs routine inspections at least once every three years for permitted facilities, and more frequently for facilities with a history of non-compliance.

Q: Can residents report concerns or complaints about Municipal Solid Waste Transfer Facilities?
A: Yes, residents can report concerns or complaints about Municipal Solid Waste Transfer Facilities to the Ohio EPA or their local health district.

ADVERTISEMENT

Form Details:

  • Released on January 4, 2020;
  • The latest edition currently provided by the Ohio Environmental Protection Agency;
  • Ready to use and print;
  • Easy to customize;
  • Compatible with most PDF-viewing applications;
  • Fill out the form in our online filing application.

Download a printable version of the form by clicking the link below or browse more documents and templates provided by the Ohio Environmental Protection Agency.

Download Municipal Solid Waste Transfer Facility Inspection Checklist - Ohio

4.6 of 5 (15 votes)
  • Municipal Solid Waste Transfer Facility Inspection Checklist - Ohio

    1

  • Municipal Solid Waste Transfer Facility Inspection Checklist - Ohio, Page 2

    2

  • Municipal Solid Waste Transfer Facility Inspection Checklist - Ohio, Page 3

    3

  • Municipal Solid Waste Transfer Facility Inspection Checklist - Ohio, Page 4

    4

  • Municipal Solid Waste Transfer Facility Inspection Checklist - Ohio, Page 1
  • Municipal Solid Waste Transfer Facility Inspection Checklist - Ohio, Page 2
  • Municipal Solid Waste Transfer Facility Inspection Checklist - Ohio, Page 3
  • Municipal Solid Waste Transfer Facility Inspection Checklist - Ohio, Page 4
Prev 1 2 3 4 Next
ADVERTISEMENT