Iowa Child Care Nurse Consultant Injury Prevention Checklist - Iowa

Iowa Child Care Nurse Consultant Injury Prevention Checklist - Iowa

Iowa Child Care Nurse Consultant Injury Prevention Checklist is a legal document that was released by the Iowa Department of Human Services - a government authority operating within Iowa.

FAQ

Q: What is the Iowa Child Care Nurse Consultant Injury Prevention Checklist?
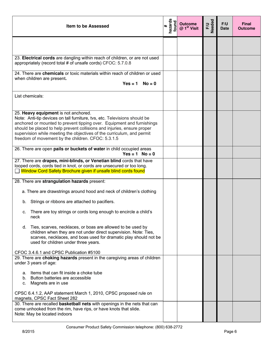
A: The Iowa Child Care Nurse Consultant Injury Prevention Checklist is a tool used to assess and prevent injuries in child care settings in Iowa.

Q: Who uses the Iowa Child Care Nurse Consultant Injury Prevention Checklist?
A: Child care providers in Iowa use the checklist to ensure the safety and well-being of children in their care.

Q: What is the purpose of the Iowa Child Care Nurse Consultant Injury Prevention Checklist?
A: The checklist is designed to identify potential hazards and provide recommendations for injury prevention in child care settings.

Q: What does the Iowa Child Care Nurse Consultant Injury Prevention Checklist cover?
A: The checklist covers various areas such as child supervision, outdoor play areas, sleep environment, equipment safety, transportation, and emergency preparedness.

ADVERTISEMENT

Form Details:

  • Released on August 1, 2015;
  • The latest edition currently provided by the Iowa Department of Human Services;
  • Ready to use and print;
  • Easy to customize;
  • Compatible with most PDF-viewing applications;
  • Fill out the form in our online filing application.

Download a printable version of the form by clicking the link below or browse more documents and templates provided by the Iowa Department of Human Services.

Download Iowa Child Care Nurse Consultant Injury Prevention Checklist - Iowa

4.5 of 5 (19 votes)
  • Iowa Child Care Nurse Consultant Injury Prevention Checklist - Iowa

    1

  • Iowa Child Care Nurse Consultant Injury Prevention Checklist - Iowa, Page 2

    2

  • Iowa Child Care Nurse Consultant Injury Prevention Checklist - Iowa, Page 3

    3

  • Iowa Child Care Nurse Consultant Injury Prevention Checklist - Iowa, Page 4

    4

  • Iowa Child Care Nurse Consultant Injury Prevention Checklist - Iowa, Page 5

    5

  • Iowa Child Care Nurse Consultant Injury Prevention Checklist - Iowa, Page 6

    6

  • Iowa Child Care Nurse Consultant Injury Prevention Checklist - Iowa, Page 7

    7

  • Iowa Child Care Nurse Consultant Injury Prevention Checklist - Iowa, Page 8

    8

  • Iowa Child Care Nurse Consultant Injury Prevention Checklist - Iowa, Page 9

    9

  • Iowa Child Care Nurse Consultant Injury Prevention Checklist - Iowa, Page 1
  • Iowa Child Care Nurse Consultant Injury Prevention Checklist - Iowa, Page 2
  • Iowa Child Care Nurse Consultant Injury Prevention Checklist - Iowa, Page 3
  • Iowa Child Care Nurse Consultant Injury Prevention Checklist - Iowa, Page 4
  • Iowa Child Care Nurse Consultant Injury Prevention Checklist - Iowa, Page 5
  • Iowa Child Care Nurse Consultant Injury Prevention Checklist - Iowa, Page 6
  • Iowa Child Care Nurse Consultant Injury Prevention Checklist - Iowa, Page 7
  • Iowa Child Care Nurse Consultant Injury Prevention Checklist - Iowa, Page 8
  • Iowa Child Care Nurse Consultant Injury Prevention Checklist - Iowa, Page 9
Prev 1 2 3 4 5 ... 9 Next
ADVERTISEMENT

Related Documents