Form 470-5466 Home- and Community-Based Services (Hcbs) Residential Setting Member Assessment - Iowa

Form 470-5466 Home- and Community-Based Services (Hcbs) Residential Setting Member Assessment - Iowa

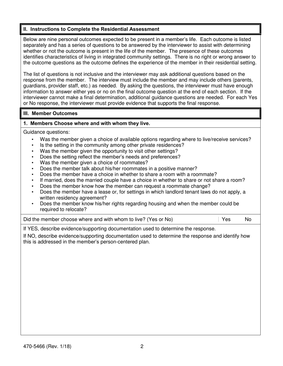
What Is Form 470-5466?

This is a legal form that was released by the Iowa Department of Human Services - a government authority operating within Iowa. As of today, no separate filing guidelines for the form are provided by the issuing department.

FAQ

Q: What is form 470-5466?
A: Form 470-5466 is the Home- and Community-Based Services (HCBS) Residential Setting Member Assessment for Iowa.

Q: What is HCBS?
A: HCBS refers to Home- and Community-Based Services, which provide support and care for individuals who prefer to receive services in their own homes or community settings rather than in institutions.

Q: What is the purpose of form 470-5466?
A: The purpose of form 470-5466 is to assess the needs and preferences of individuals seeking Home- and Community-Based Services in a residential setting in Iowa.

Q: Who should fill out form 470-5466?
A: Form 470-5466 should be filled out by individuals or their authorized representatives who are seeking Home- and Community-Based Services in a residential setting in Iowa.

Q: What information is collected in form 470-5466?
A: Form 470-5466 collects information about the individual's personal preferences, health conditions, daily activities, support needs, and any additional services or supports required.

Q: Is form 470-5466 mandatory?
A: Yes, if an individual is seeking Home- and Community-Based Services in a residential setting in Iowa, filling out form 470-5466 is generally required as part of the assessment process.

Q: Can someone assist in filling out form 470-5466?
A: Yes, individuals can seek assistance from their authorized representative, family members, or service providers in filling out form 470-5466.

ADVERTISEMENT

Form Details:

  • Released on January 1, 2018;
  • The latest edition provided by the Iowa Department of Human Services;
  • Easy to use and ready to print;
  • Quick to customize;
  • Compatible with most PDF-viewing applications;
  • Fill out the form in our online filing application.

Download a fillable version of Form 470-5466 by clicking the link below or browse more documents and templates provided by the Iowa Department of Human Services.

Download Form 470-5466 Home- and Community-Based Services (Hcbs) Residential Setting Member Assessment - Iowa

4.3 of 5 (12 votes)
  • Form 470-5466 Home- and Community-Based Services (Hcbs) Residential Setting Member Assessment - Iowa

    1

  • Form 470-5466 Home- and Community-Based Services (Hcbs) Residential Setting Member Assessment - Iowa, Page 2

    2

  • Form 470-5466 Home- and Community-Based Services (Hcbs) Residential Setting Member Assessment - Iowa, Page 3

    3

  • Form 470-5466 Home- and Community-Based Services (Hcbs) Residential Setting Member Assessment - Iowa, Page 4

    4

  • Form 470-5466 Home- and Community-Based Services (Hcbs) Residential Setting Member Assessment - Iowa, Page 5

    5

  • Form 470-5466 Home- and Community-Based Services (Hcbs) Residential Setting Member Assessment - Iowa, Page 6

    6

  • Form 470-5466 Home- and Community-Based Services (Hcbs) Residential Setting Member Assessment - Iowa, Page 7

    7

  • Form 470-5466 Home- and Community-Based Services (Hcbs) Residential Setting Member Assessment - Iowa, Page 8

    8

  • Form 470-5466 Home- and Community-Based Services (Hcbs) Residential Setting Member Assessment - Iowa, Page 9

    9

  • Form 470-5466 Home- and Community-Based Services (Hcbs) Residential Setting Member Assessment - Iowa, Page 10

    10

  • Form 470-5466 Home- and Community-Based Services (Hcbs) Residential Setting Member Assessment - Iowa, Page 1
  • Form 470-5466 Home- and Community-Based Services (Hcbs) Residential Setting Member Assessment - Iowa, Page 2
  • Form 470-5466 Home- and Community-Based Services (Hcbs) Residential Setting Member Assessment - Iowa, Page 3
  • Form 470-5466 Home- and Community-Based Services (Hcbs) Residential Setting Member Assessment - Iowa, Page 4
  • Form 470-5466 Home- and Community-Based Services (Hcbs) Residential Setting Member Assessment - Iowa, Page 5
  • Form 470-5466 Home- and Community-Based Services (Hcbs) Residential Setting Member Assessment - Iowa, Page 6
  • Form 470-5466 Home- and Community-Based Services (Hcbs) Residential Setting Member Assessment - Iowa, Page 7
  • Form 470-5466 Home- and Community-Based Services (Hcbs) Residential Setting Member Assessment - Iowa, Page 8
  • Form 470-5466 Home- and Community-Based Services (Hcbs) Residential Setting Member Assessment - Iowa, Page 9
  • Form 470-5466 Home- and Community-Based Services (Hcbs) Residential Setting Member Assessment - Iowa, Page 10
Prev 1 2 3 4 5 ... 10 Next
ADVERTISEMENT