Form 0023 Articles of Incorporation Professional Corporation - South Carolina

Form 0023 Articles of Incorporation Professional Corporation - South Carolina

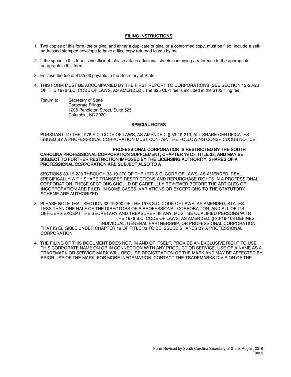
What Is Form 0023?

This is a legal form that was released by the South Carolina Secretary of State - a government authority operating within South Carolina. As of today, no separate filing guidelines for the form are provided by the issuing department.

FAQ

Q: What is Form 0023?
A: Form 0023 is the Articles of Incorporation for a Professional Corporation in South Carolina.

Q: What is a Professional Corporation?
A: A Professional Corporation is a type of corporation that is formed for the purpose of providing professional services, such as legal or medical services.

Q: Why do I need to file Form 0023?
A: You need to file Form 0023 to formally incorporate your Professional Corporation in South Carolina.

Q: What information is required in Form 0023?
A: Form 0023 requires information about the name of the corporation, the purpose of the corporation, the names of the incorporators, and other relevant details.

Q: Can I make changes to my Professional Corporation after filing Form 0023?
A: Yes, you can make changes to your Professional Corporation by filing appropriate amendments with the Secretary of State's office.

Q: What is the difference between a Professional Corporation and a regular Corporation?
A: A Professional Corporation is formed for the purpose of providing professional services and has additional requirements, such as restrictions on ownership and management, compared to a regular Corporation.

Q: Can I convert a regular Corporation into a Professional Corporation?
A: Yes, it is possible to convert a regular Corporation into a Professional Corporation by following the necessary legal procedures and fulfilling the requirements set by the state.

ADVERTISEMENT

Form Details:

  • Released on August 1, 2016;
  • The latest edition provided by the South Carolina Secretary of State;
  • Easy to use and ready to print;
  • Quick to customize;
  • Compatible with most PDF-viewing applications;
  • Fill out the form in our online filing application.

Download a printable version of Form 0023 by clicking the link below or browse more documents and templates provided by the South Carolina Secretary of State.

Download Form 0023 Articles of Incorporation Professional Corporation - South Carolina

4.5 of 5 (25 votes)
  • Form 0023 Articles of Incorporation Professional Corporation - South Carolina

    1

  • Form 0023 Articles of Incorporation Professional Corporation - South Carolina, Page 2

    2

  • Form 0023 Articles of Incorporation Professional Corporation - South Carolina, Page 3

    3

  • Form 0023 Articles of Incorporation Professional Corporation - South Carolina, Page 4

    4

  • Form 0023 Articles of Incorporation Professional Corporation - South Carolina, Page 1
  • Form 0023 Articles of Incorporation Professional Corporation - South Carolina, Page 2
  • Form 0023 Articles of Incorporation Professional Corporation - South Carolina, Page 3
  • Form 0023 Articles of Incorporation Professional Corporation - South Carolina, Page 4
Prev 1 2 3 4 Next
ADVERTISEMENT