Adeq Underground Storage Tank (Ust) Expedited Preapproval Reimbursement Request Form - Arizona

Notification Icon This version of the form is not currently in use and is provided for reference only. Download this version of the document for the current year.

Adeq Underground Storage Tank (Ust) Expedited Preapproval Reimbursement Request Form - Arizona

Adeq Underground Storage Tank (Ust) Expedited Preapproval Reimbursement Request Form is a legal document that was released by the Arizona Department of Environmental Quality - a government authority operating within Arizona.

FAQ

Q: What is the Adeq Underground Storage Tank (Ust) Expedited Preapproval Reimbursement Request Form?
A: The Adeq Underground Storage Tank (Ust) Expedited Preapproval Reimbursement Request Form is a document used in Arizona to request reimbursement for expenses related to underground storage tank projects.

Q: Who can use the Adeq Underground Storage Tank (Ust) Expedited Preapproval Reimbursement Request Form?
A: The form can be used by individuals or companies that have incurred costs related to underground storage tank projects and are eligible for reimbursement from the Arizona Department of Environmental Quality (ADEQ).

Q: What is the purpose of the form?
A: The form is used to request reimbursement for expenses incurred during underground storage tank projects that meet the criteria for expedited preapproval set by ADEQ.

Q: What expenses can be claimed for reimbursement?
A: Expenses that can be claimed for reimbursement include the costs of soil and groundwater sampling, site assessments, repairs, and upgrades related to underground storage tank projects.

Q: How can I submit the form?
A: The completed form should be submitted to ADEQ along with all the required documentation, such as receipts, invoices, and project details.

ADVERTISEMENT

Form Details:

  • Released on February 1, 2021;
  • The latest edition currently provided by the Arizona Department of Environmental Quality;
  • Ready to use and print;
  • Easy to customize;
  • Compatible with most PDF-viewing applications;
  • Fill out the form in our online filing application.

Download a fillable version of the form by clicking the link below or browse more documents and templates provided by the Arizona Department of Environmental Quality.

Download Adeq Underground Storage Tank (Ust) Expedited Preapproval Reimbursement Request Form - Arizona

4.7 of 5 (24 votes)
  • Adeq Underground Storage Tank (Ust) Expedited Preapproval Reimbursement Request Form - Arizona

    1

  • Adeq Underground Storage Tank (Ust) Expedited Preapproval Reimbursement Request Form - Arizona, Page 2

    2

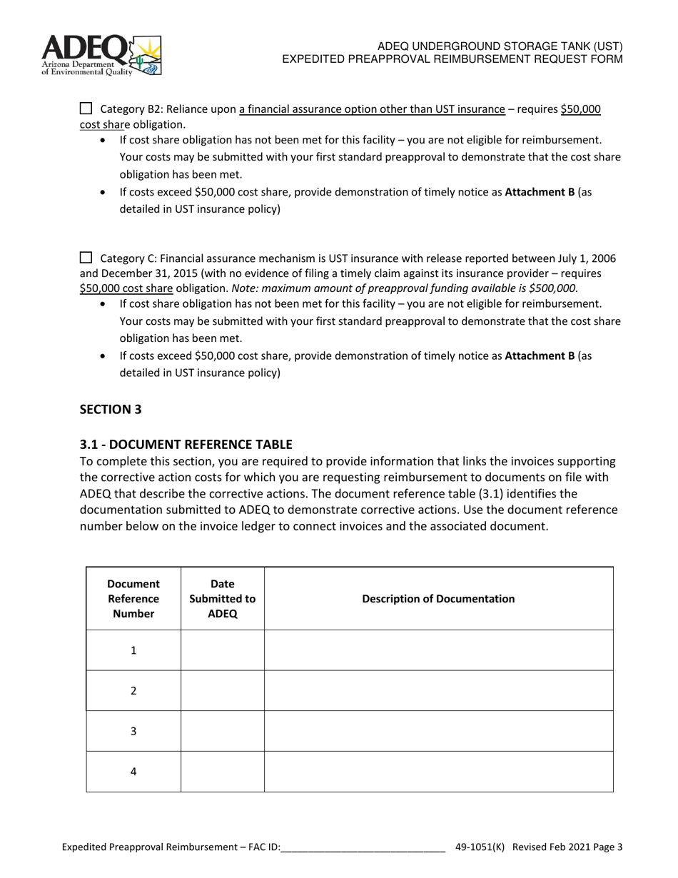
  • Adeq Underground Storage Tank (Ust) Expedited Preapproval Reimbursement Request Form - Arizona, Page 3

    3

  • Adeq Underground Storage Tank (Ust) Expedited Preapproval Reimbursement Request Form - Arizona, Page 4

    4

  • Adeq Underground Storage Tank (Ust) Expedited Preapproval Reimbursement Request Form - Arizona, Page 5

    5

  • Adeq Underground Storage Tank (Ust) Expedited Preapproval Reimbursement Request Form - Arizona, Page 6

    6

  • Adeq Underground Storage Tank (Ust) Expedited Preapproval Reimbursement Request Form - Arizona, Page 7

    7

  • Adeq Underground Storage Tank (Ust) Expedited Preapproval Reimbursement Request Form - Arizona, Page 8

    8

  • Adeq Underground Storage Tank (Ust) Expedited Preapproval Reimbursement Request Form - Arizona, Page 9

    9

  • Adeq Underground Storage Tank (Ust) Expedited Preapproval Reimbursement Request Form - Arizona, Page 10

    10

  • Adeq Underground Storage Tank (Ust) Expedited Preapproval Reimbursement Request Form - Arizona, Page 1
  • Adeq Underground Storage Tank (Ust) Expedited Preapproval Reimbursement Request Form - Arizona, Page 2
  • Adeq Underground Storage Tank (Ust) Expedited Preapproval Reimbursement Request Form - Arizona, Page 3
  • Adeq Underground Storage Tank (Ust) Expedited Preapproval Reimbursement Request Form - Arizona, Page 4
  • Adeq Underground Storage Tank (Ust) Expedited Preapproval Reimbursement Request Form - Arizona, Page 5
  • Adeq Underground Storage Tank (Ust) Expedited Preapproval Reimbursement Request Form - Arizona, Page 6
  • Adeq Underground Storage Tank (Ust) Expedited Preapproval Reimbursement Request Form - Arizona, Page 7
  • Adeq Underground Storage Tank (Ust) Expedited Preapproval Reimbursement Request Form - Arizona, Page 8
  • Adeq Underground Storage Tank (Ust) Expedited Preapproval Reimbursement Request Form - Arizona, Page 9
  • Adeq Underground Storage Tank (Ust) Expedited Preapproval Reimbursement Request Form - Arizona, Page 10
Prev 1 2 3 4 5 ... 10 Next
ADVERTISEMENT

Related Documents