Form JC11A Order After Preliminary Hearing (Child Protective Proceedings) - Michigan

Notification Icon This version of the form is not currently in use and is provided for reference only. Download this version of Form JC11A for the current year.

Form JC11A Order After Preliminary Hearing (Child Protective Proceedings) - Michigan

What Is Form JC11A?

This is a legal form that was released by the Michigan Juvenile Court - a government authority operating within Michigan. As of today, no separate filing guidelines for the form are provided by the issuing department.

FAQ

Q: What is a JC11A Order After Preliminary Hearing?
A: A JC11A Order After Preliminary Hearing is a court order issued in child protective proceedings in Michigan.

Q: What is the purpose of a JC11A Order After Preliminary Hearing?
A: The purpose of a JC11A Order After Preliminary Hearing is to outline the next steps in the child protective proceedings.

Q: What information does a JC11A Order After Preliminary Hearing contain?
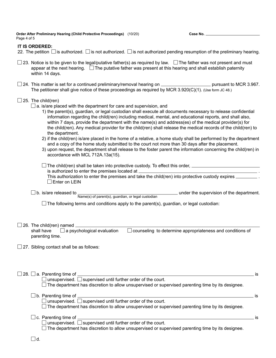
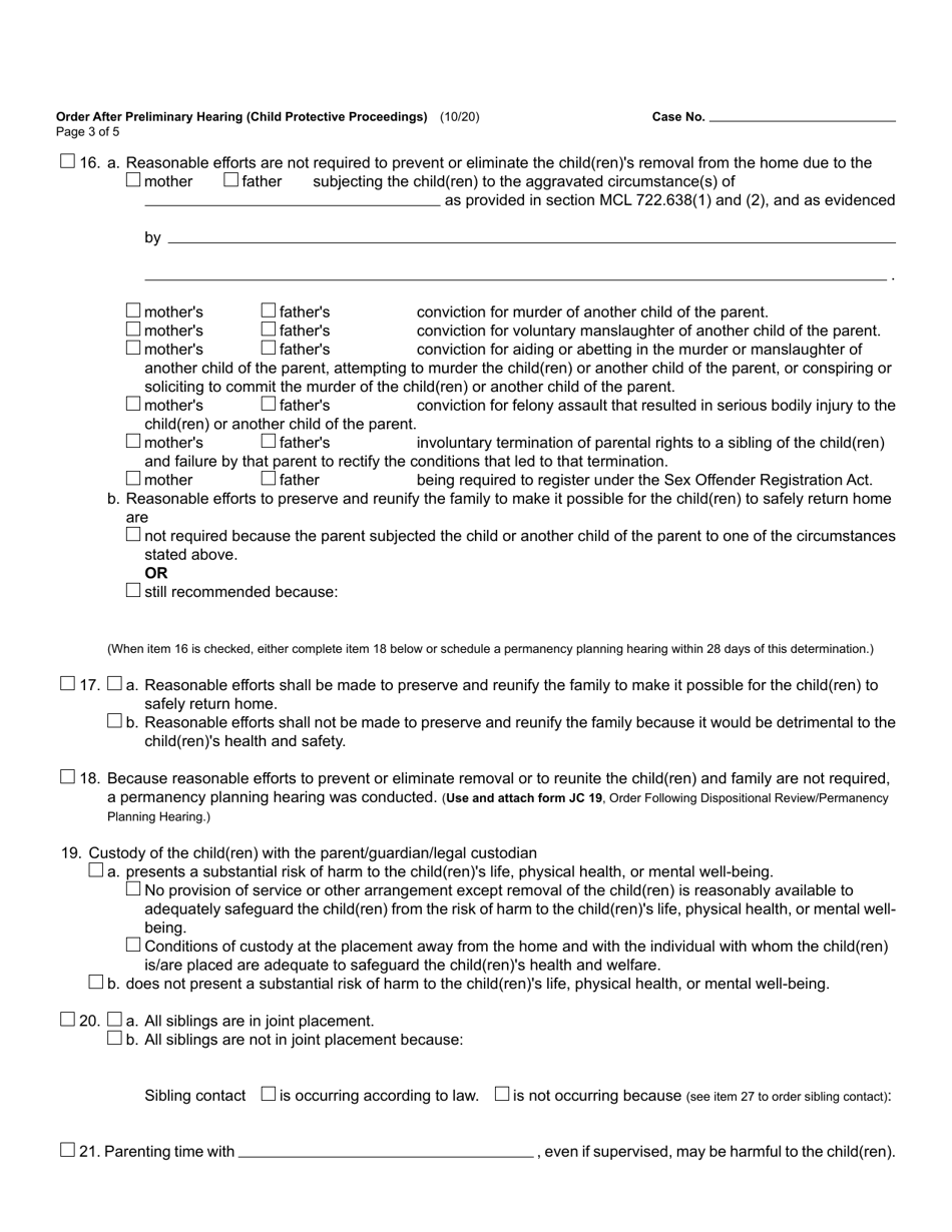
A: A JC11A Order After Preliminary Hearing may contain information about the placement of the child, visitation for the parents, and services to be provided.

Q: Who issues a JC11A Order After Preliminary Hearing?
A: A JC11A Order After Preliminary Hearing is issued by the court overseeing the child protective proceedings.

Q: What should parents do after receiving a JC11A Order After Preliminary Hearing?
A: Parents should carefully review the JC11A Order After Preliminary Hearing and follow any instructions or requirements outlined in the order.

Q: Can a JC11A Order After Preliminary Hearing be modified?
A: Yes, a JC11A Order After Preliminary Hearing can be modified if there are changes in circumstances or if a parent requests a modification.

Q: Is legal representation necessary for parents in child protective proceedings?
A: It is highly recommended for parents to have legal representation in child protective proceedings to ensure their rights are protected.

ADVERTISEMENT

Form Details:

  • Released on October 1, 2020;
  • The latest edition provided by the Michigan Juvenile Court;
  • Easy to use and ready to print;
  • Quick to customize;
  • Compatible with most PDF-viewing applications;
  • Fill out the form in our online filing application.

Download a fillable version of Form JC11A by clicking the link below or browse more documents and templates provided by the Michigan Juvenile Court.

Download Form JC11A Order After Preliminary Hearing (Child Protective Proceedings) - Michigan

4.4 of 5 (21 votes)
  • Form JC11A Order After Preliminary Hearing (Child Protective Proceedings) - Michigan

    1

  • Form JC11A Order After Preliminary Hearing (Child Protective Proceedings) - Michigan, Page 2

    2

  • Form JC11A Order After Preliminary Hearing (Child Protective Proceedings) - Michigan, Page 3

    3

  • Form JC11A Order After Preliminary Hearing (Child Protective Proceedings) - Michigan, Page 4

    4

  • Form JC11A Order After Preliminary Hearing (Child Protective Proceedings) - Michigan, Page 5

    5

  • Form JC11A Order After Preliminary Hearing (Child Protective Proceedings) - Michigan, Page 1
  • Form JC11A Order After Preliminary Hearing (Child Protective Proceedings) - Michigan, Page 2
  • Form JC11A Order After Preliminary Hearing (Child Protective Proceedings) - Michigan, Page 3
  • Form JC11A Order After Preliminary Hearing (Child Protective Proceedings) - Michigan, Page 4
  • Form JC11A Order After Preliminary Hearing (Child Protective Proceedings) - Michigan, Page 5
Prev 1 2 3 4 5 Next
ADVERTISEMENT