Form MC228 Order on Application to Set Aside Conviction(S) - Michigan

Notification Icon This version of the form is not currently in use and is provided for reference only. Download this version of Form MC228 for the current year.

Form MC228 Order on Application to Set Aside Conviction(S) - Michigan

What Is Form MC228?

This is a legal form that was released by the Michigan Courts - a government authority operating within Michigan. As of today, no separate filing guidelines for the form are provided by the issuing department.

FAQ

Q: What is Form MC228?
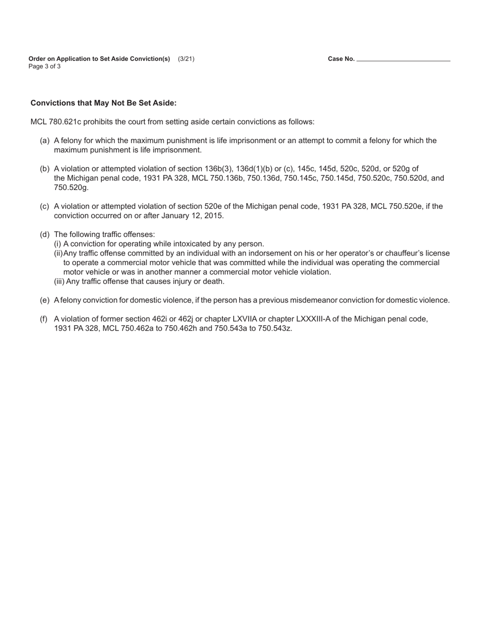
A: Form MC228 is an order on application to set aside conviction(s) in Michigan.

Q: What is the purpose of Form MC228?
A: The purpose of Form MC228 is to apply for the set aside of conviction(s) in Michigan.

Q: How do I use Form MC228?
A: To use Form MC228, fill out the required information and submit it to the appropriate court in Michigan.

Q: Who can use Form MC228?
A: Form MC228 can be used by individuals who want to set aside conviction(s) in Michigan.

Q: What is the effect of setting aside a conviction?
A: Setting aside a conviction means that the conviction is removed from the individual's record and treated as if it never happened.

Q: Are there any eligibility requirements to use Form MC228?
A: Yes, there are eligibility requirements to use Form MC228. Please refer to the instructions provided with the form for more information.

Q: Is there a fee to use Form MC228?
A: There may be a fee associated with filing Form MC228. Please check with the court for the current fee schedule.

Q: Can I get legal advice while filling out Form MC228?
A: It is recommended to consult with an attorney for legal advice when filling out Form MC228.

Q: What should I do after submitting Form MC228?
A: After submitting Form MC228, you should follow any instructions provided by the court and be prepared for a court hearing if required.

ADVERTISEMENT

Form Details:

  • Released on March 1, 2021;
  • The latest edition provided by the Michigan Courts;
  • Easy to use and ready to print;
  • Quick to customize;
  • Compatible with most PDF-viewing applications;
  • Fill out the form in our online filing application.

Download a fillable version of Form MC228 by clicking the link below or browse more documents and templates provided by the Michigan Courts.

Download Form MC228 Order on Application to Set Aside Conviction(S) - Michigan

4.4 of 5 (30 votes)
  • Form MC228 Order on Application to Set Aside Conviction(S) - Michigan

    1

  • Form MC228 Order on Application to Set Aside Conviction(S) - Michigan, Page 2

    2

  • Form MC228 Order on Application to Set Aside Conviction(S) - Michigan, Page 3

    3

  • Form MC228 Order on Application to Set Aside Conviction(S) - Michigan, Page 1
  • Form MC228 Order on Application to Set Aside Conviction(S) - Michigan, Page 2
  • Form MC228 Order on Application to Set Aside Conviction(S) - Michigan, Page 3
Prev 1 2 3 Next
ADVERTISEMENT

Related Documents