Individualized Assessment Credit Worksheet - Applying New York State Credit Policy for Applicants to State-Funded Housing - New York

Notification Icon This version of the form is not currently in use and is provided for reference only. Download this version of the document for the current year.

Individualized Assessment Credit Worksheet - Applying New York State Credit Policy for Applicants to State-Funded Housing - New York

Individualized Credit Policy for Applicants to State-Funded Housing is a legal document that was released by the New York State Homes and Community Renewal - a government authority operating within New York.

FAQ

Q: What is the Individualized Assessment Credit Worksheet?
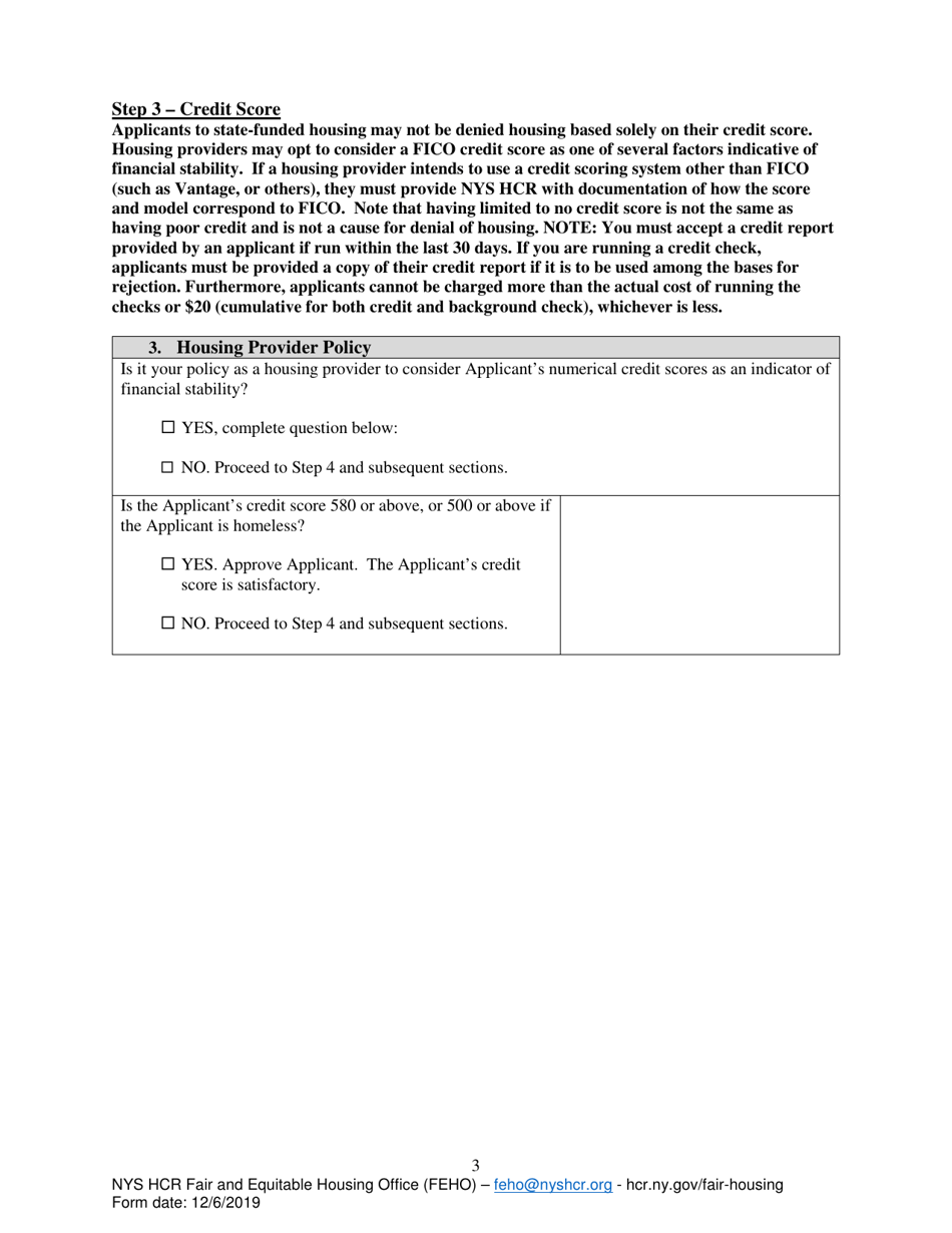
A: The Individualized Assessment Credit Worksheet is a tool used to apply New York State's credit policy for applicants to state-funded housing.

Q: What is the purpose of the Individualized Assessment Credit Worksheet?
A: The purpose of the Individualized Assessment Credit Worksheet is to determine creditworthiness of applicants to state-funded housing.

Q: Who uses the Individualized Assessment Credit Worksheet?
A: The Individualized Assessment Credit Worksheet is used by those responsible for evaluating creditworthiness of applicants to state-funded housing in New York State.

Q: What is New York State's credit policy for applicants to state-funded housing?
A: New York State has a credit policy in place to evaluate the creditworthiness of applicants to state-funded housing.

Q: How is the Individualized Assessment Credit Worksheet used?
A: The Individualized Assessment Credit Worksheet is used to collect and evaluate information about an applicant's credit history and financial situation.

Q: What criteria are considered when using the Individualized Assessment Credit Worksheet?
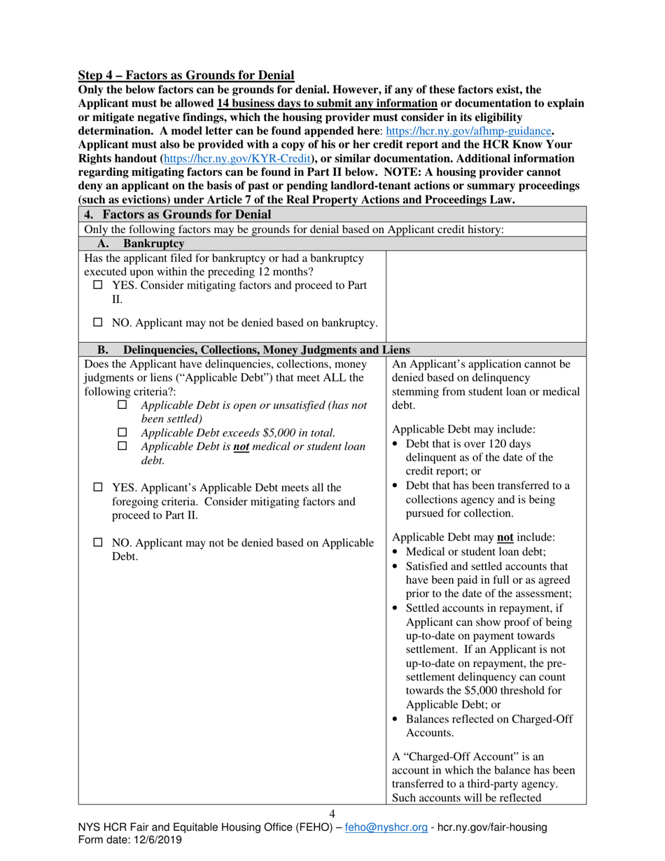
A: When using the Individualized Assessment Credit Worksheet, criteria such as credit score, payment history, debt, and bankruptcies may be considered.

Q: What is the outcome of using the Individualized Assessment Credit Worksheet?
A: The outcome of using the Individualized Assessment Credit Worksheet is a determination of an applicant's creditworthiness and eligibility for state-funded housing.

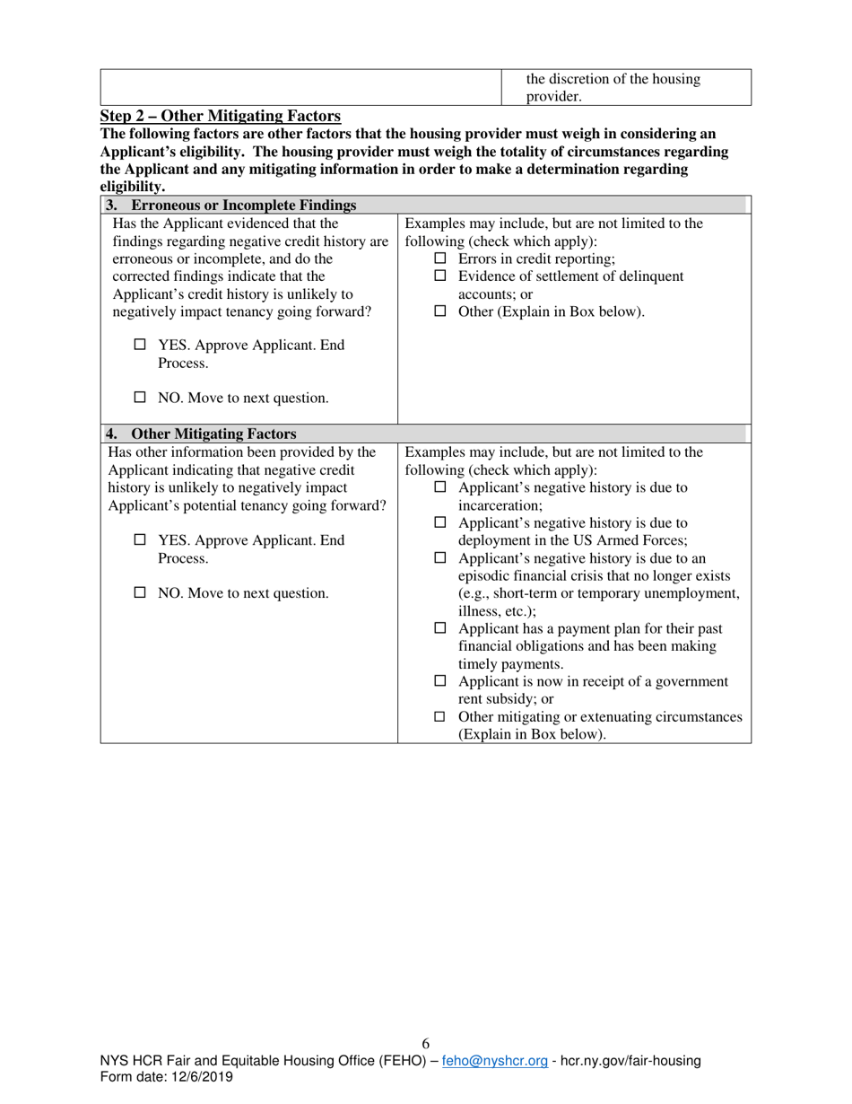
Q: Are there any exceptions or special circumstances considered when using the Individualized Assessment Credit Worksheet?
A: Yes, the Individualized Assessment Credit Worksheet allows for consideration of exceptions or special circumstances that may have impacted an applicant's credit history.

Q: Is the Individualized Assessment Credit Worksheet specific to New York State?
A: Yes, the Individualized Assessment Credit Worksheet is specific to New York State's credit policy for applicants to state-funded housing.

ADVERTISEMENT

Form Details:

  • Released on December 6, 2019;
  • The latest edition currently provided by the New York State Homes and Community Renewal;
  • Ready to use and print;
  • Easy to customize;
  • Compatible with most PDF-viewing applications;
  • Fill out the form in our online filing application.

Download a printable version of the form by clicking the link below or browse more documents and templates provided by the New York State Homes and Community Renewal.

Download Individualized Assessment Credit Worksheet - Applying New York State Credit Policy for Applicants to State-Funded Housing - New York

4.3 of 5 (9 votes)
  • Individualized Assessment Credit Worksheet - Applying New York State Credit Policy for Applicants to State-Funded Housing - New York

    1

  • Individualized Assessment Credit Worksheet - Applying New York State Credit Policy for Applicants to State-Funded Housing - New York, Page 2

    2

  • Individualized Assessment Credit Worksheet - Applying New York State Credit Policy for Applicants to State-Funded Housing - New York, Page 3

    3

  • Individualized Assessment Credit Worksheet - Applying New York State Credit Policy for Applicants to State-Funded Housing - New York, Page 4

    4

  • Individualized Assessment Credit Worksheet - Applying New York State Credit Policy for Applicants to State-Funded Housing - New York, Page 5

    5

  • Individualized Assessment Credit Worksheet - Applying New York State Credit Policy for Applicants to State-Funded Housing - New York, Page 6

    6

  • Individualized Assessment Credit Worksheet - Applying New York State Credit Policy for Applicants to State-Funded Housing - New York, Page 7

    7

  • Individualized Assessment Credit Worksheet - Applying New York State Credit Policy for Applicants to State-Funded Housing - New York, Page 1
  • Individualized Assessment Credit Worksheet - Applying New York State Credit Policy for Applicants to State-Funded Housing - New York, Page 2
  • Individualized Assessment Credit Worksheet - Applying New York State Credit Policy for Applicants to State-Funded Housing - New York, Page 3
  • Individualized Assessment Credit Worksheet - Applying New York State Credit Policy for Applicants to State-Funded Housing - New York, Page 4
  • Individualized Assessment Credit Worksheet - Applying New York State Credit Policy for Applicants to State-Funded Housing - New York, Page 5
  • Individualized Assessment Credit Worksheet - Applying New York State Credit Policy for Applicants to State-Funded Housing - New York, Page 6
  • Individualized Assessment Credit Worksheet - Applying New York State Credit Policy for Applicants to State-Funded Housing - New York, Page 7
Prev 1 2 3 4 5 ... 7 Next
ADVERTISEMENT