SEC Form 649 (S-6) Registration Under 1933 Act of Securities of Unit Investment Trusts Registered on Form N-8b-2

SEC Form 649 (S-6) Registration Under 1933 Act of Securities of Unit Investment Trusts Registered on Form N-8b-2

What Is SEC Form 649 (S-6)?

This is a legal form that was released by the U.S. Securities and Exchange Commission on April 1, 2021 and used country-wide. As of today, no separate filing guidelines for the form are provided by the issuing department.

FAQ

Q: What is SEC Form 649?
A: SEC Form 649 is a registration form for securities of unit investment trusts registered on Form N-8b-2 under the 1933 Act.

Q: What is the purpose of SEC Form 649?
A: The purpose of SEC Form 649 is to facilitate the registration of securities of unit investment trusts under the 1933 Act.

Q: What is the 1933 Act?
A: The 1933 Act refers to the Securities Act of 1933, which regulates the offering and sale of securities in the United States.

Q: What are unit investment trusts?
A: Unit investment trusts are investment vehicles that hold a fixed portfolio of securities and issue redeemable units to investors.

Q: What is Form N-8b-2?
A: Form N-8b-2 is a registration form for unit investment trusts under the Investment Company Act of 1940.

ADVERTISEMENT

Form Details:

  • Released on April 1, 2021;
  • The latest available edition released by the U.S. Securities and Exchange Commission;
  • Easy to use and ready to print;
  • Yours to fill out and keep for your records;
  • Compatible with most PDF-viewing applications;
  • Fill out the form in our online filing application.

Download a printable version of SEC Form 649 (S-6) by clicking the link below or browse more documents and templates provided by the U.S. Securities and Exchange Commission.

Download SEC Form 649 (S-6) Registration Under 1933 Act of Securities of Unit Investment Trusts Registered on Form N-8b-2

4.4 of 5 (20 votes)
  • SEC Form 649 (S-6) Registration Under 1933 Act of Securities of Unit Investment Trusts Registered on Form N-8b-2

    1

  • SEC Form 649 (S-6) Registration Under 1933 Act of Securities of Unit Investment Trusts Registered on Form N-8b-2, Page 2

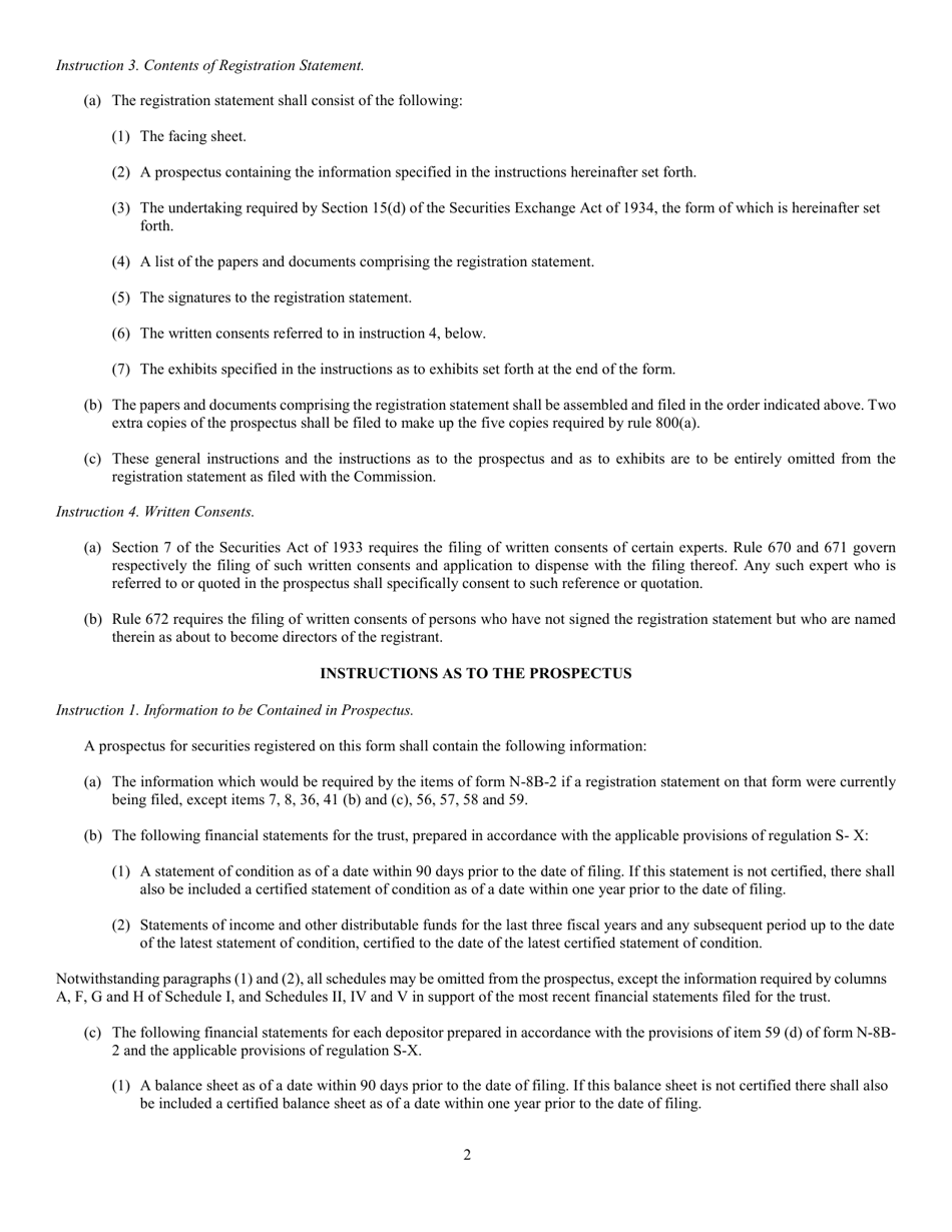
    2

  • SEC Form 649 (S-6) Registration Under 1933 Act of Securities of Unit Investment Trusts Registered on Form N-8b-2, Page 3

    3

  • SEC Form 649 (S-6) Registration Under 1933 Act of Securities of Unit Investment Trusts Registered on Form N-8b-2, Page 4

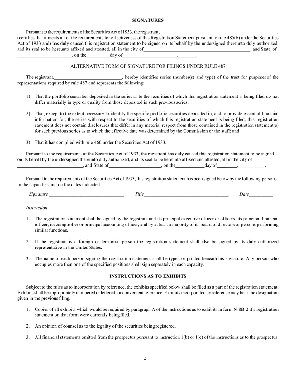
    4

  • SEC Form 649 (S-6) Registration Under 1933 Act of Securities of Unit Investment Trusts Registered on Form N-8b-2, Page 5

    5

  • SEC Form 649 (S-6) Registration Under 1933 Act of Securities of Unit Investment Trusts Registered on Form N-8b-2, Page 1
  • SEC Form 649 (S-6) Registration Under 1933 Act of Securities of Unit Investment Trusts Registered on Form N-8b-2, Page 2
  • SEC Form 649 (S-6) Registration Under 1933 Act of Securities of Unit Investment Trusts Registered on Form N-8b-2, Page 3
  • SEC Form 649 (S-6) Registration Under 1933 Act of Securities of Unit Investment Trusts Registered on Form N-8b-2, Page 4
  • SEC Form 649 (S-6) Registration Under 1933 Act of Securities of Unit Investment Trusts Registered on Form N-8b-2, Page 5
Prev 1 2 3 4 5 Next
ADVERTISEMENT

Related Documents