SEC Form 0977 (N-8B-2) Registration Statement of Unit Investment Trusts Which Are Currently Issuing Securities

SEC Form 0977 (N-8B-2) Registration Statement of Unit Investment Trusts Which Are Currently Issuing Securities

What Is SEC Form 0977 (N-8B-2)?

This is a legal form that was released by the U.S. Securities and Exchange Commission on April 1, 2021 and used country-wide. As of today, no separate filing guidelines for the form are provided by the issuing department.

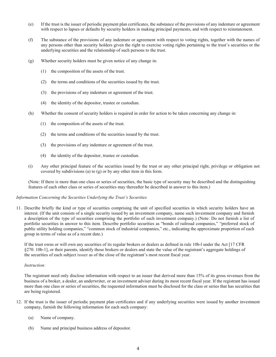
FAQ

Q: What is SEC Form 0977?
A: SEC Form 0977 is the Registration Statement of Unit Investment Trusts (UITs) which are currently issuing securities.

Q: What is a Unit Investment Trust (UIT)?
A: A Unit Investment Trust (UIT) is a type of investment company that offers a fixed portfolio of securities with a predetermined life span.

Q: What does SEC stand for?
A: SEC stands for Securities and Exchange Commission.

Q: Who needs to file SEC Form 0977?
A: Unit Investment Trusts (UITs) that are currently issuing securities need to file SEC Form 0977.

Q: What information does SEC Form 0977 require?
A: SEC Form 0977 requires information about the UIT's structure, investment objectives, fees and expenses, risks, and other related details.

ADVERTISEMENT

Form Details:

  • Released on April 1, 2021;
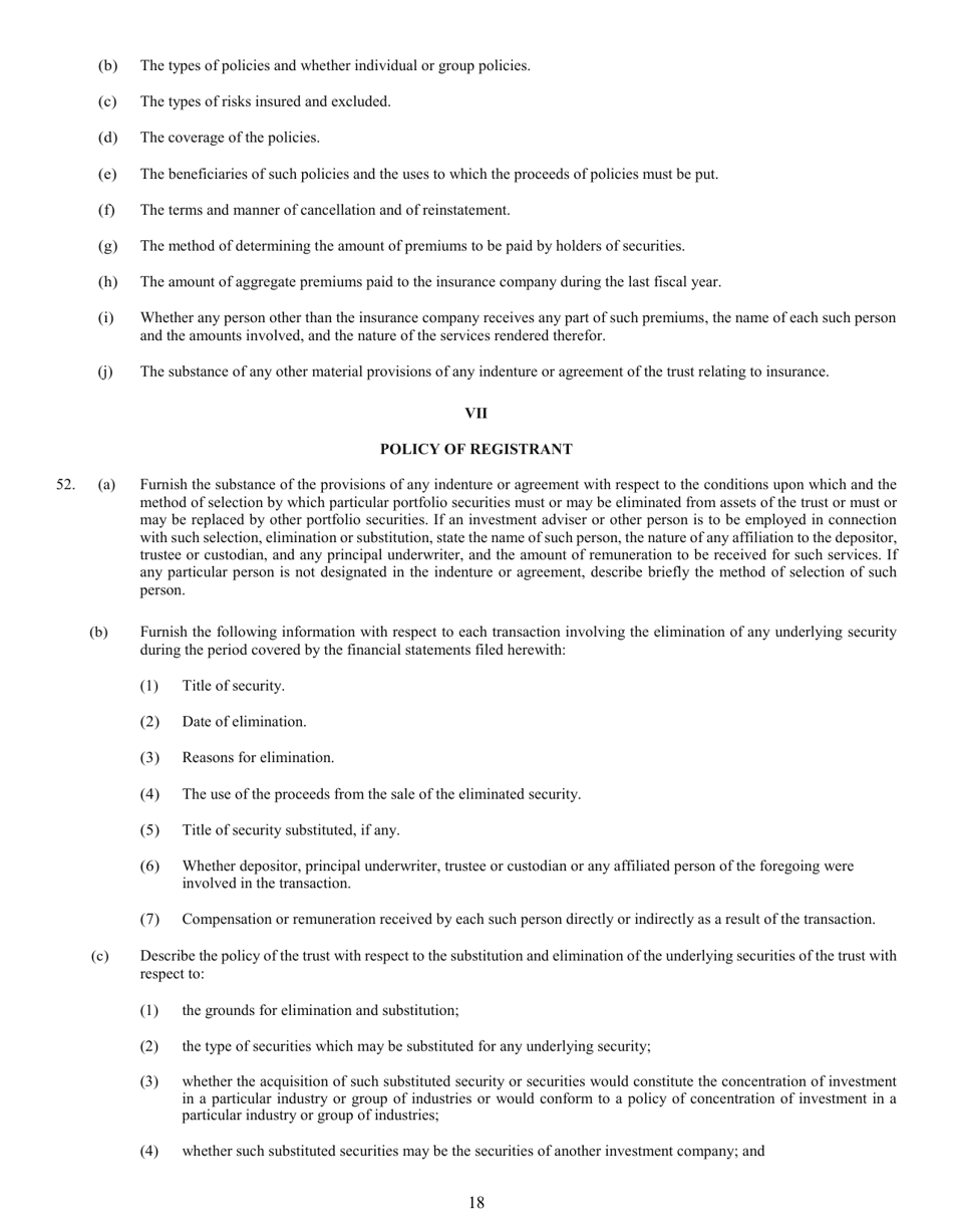
  • The latest available edition released by the U.S. Securities and Exchange Commission;
  • Easy to use and ready to print;
  • Yours to fill out and keep for your records;
  • Compatible with most PDF-viewing applications;
  • Fill out the form in our online filing application.

Download a printable version of SEC Form 0977 (N-8B-2) by clicking the link below or browse more documents and templates provided by the U.S. Securities and Exchange Commission.

Download SEC Form 0977 (N-8B-2) Registration Statement of Unit Investment Trusts Which Are Currently Issuing Securities

4.4 of 5 (10 votes)
  • SEC Form 0977 (N-8B-2) Registration Statement of Unit Investment Trusts Which Are Currently Issuing Securities

    1

  • SEC Form 0977 (N-8B-2) Registration Statement of Unit Investment Trusts Which Are Currently Issuing Securities, Page 2

    2

  • SEC Form 0977 (N-8B-2) Registration Statement of Unit Investment Trusts Which Are Currently Issuing Securities, Page 3

    3

  • SEC Form 0977 (N-8B-2) Registration Statement of Unit Investment Trusts Which Are Currently Issuing Securities, Page 4

    4

  • SEC Form 0977 (N-8B-2) Registration Statement of Unit Investment Trusts Which Are Currently Issuing Securities, Page 5

    5

  • SEC Form 0977 (N-8B-2) Registration Statement of Unit Investment Trusts Which Are Currently Issuing Securities, Page 6

    6

  • SEC Form 0977 (N-8B-2) Registration Statement of Unit Investment Trusts Which Are Currently Issuing Securities, Page 7

    7

  • SEC Form 0977 (N-8B-2) Registration Statement of Unit Investment Trusts Which Are Currently Issuing Securities, Page 8

    8

  • SEC Form 0977 (N-8B-2) Registration Statement of Unit Investment Trusts Which Are Currently Issuing Securities, Page 9

    9

  • SEC Form 0977 (N-8B-2) Registration Statement of Unit Investment Trusts Which Are Currently Issuing Securities, Page 10

    10

  • SEC Form 0977 (N-8B-2) Registration Statement of Unit Investment Trusts Which Are Currently Issuing Securities, Page 11

    11

  • SEC Form 0977 (N-8B-2) Registration Statement of Unit Investment Trusts Which Are Currently Issuing Securities, Page 12

    12

  • SEC Form 0977 (N-8B-2) Registration Statement of Unit Investment Trusts Which Are Currently Issuing Securities, Page 13

    13

  • SEC Form 0977 (N-8B-2) Registration Statement of Unit Investment Trusts Which Are Currently Issuing Securities, Page 14

    14

  • SEC Form 0977 (N-8B-2) Registration Statement of Unit Investment Trusts Which Are Currently Issuing Securities, Page 15

    15

  • SEC Form 0977 (N-8B-2) Registration Statement of Unit Investment Trusts Which Are Currently Issuing Securities, Page 16

    16

  • SEC Form 0977 (N-8B-2) Registration Statement of Unit Investment Trusts Which Are Currently Issuing Securities, Page 17

    17

  • SEC Form 0977 (N-8B-2) Registration Statement of Unit Investment Trusts Which Are Currently Issuing Securities, Page 18

    18

  • SEC Form 0977 (N-8B-2) Registration Statement of Unit Investment Trusts Which Are Currently Issuing Securities, Page 19

    19

  • SEC Form 0977 (N-8B-2) Registration Statement of Unit Investment Trusts Which Are Currently Issuing Securities, Page 20

    20

  • SEC Form 0977 (N-8B-2) Registration Statement of Unit Investment Trusts Which Are Currently Issuing Securities, Page 21

    21

  • SEC Form 0977 (N-8B-2) Registration Statement of Unit Investment Trusts Which Are Currently Issuing Securities, Page 22

    22

  • SEC Form 0977 (N-8B-2) Registration Statement of Unit Investment Trusts Which Are Currently Issuing Securities, Page 23

    23

  • SEC Form 0977 (N-8B-2) Registration Statement of Unit Investment Trusts Which Are Currently Issuing Securities, Page 24

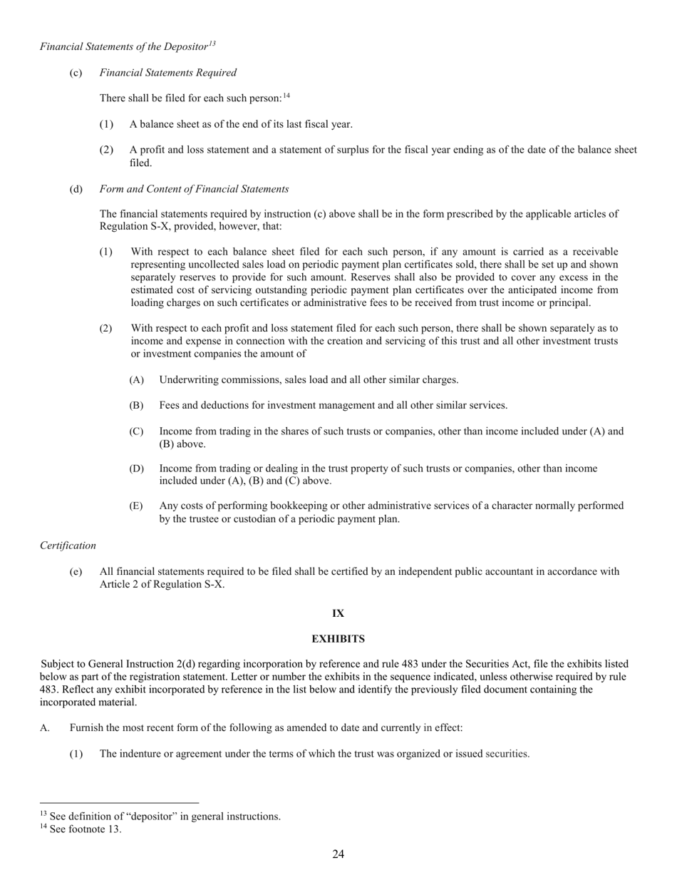
    24

  • SEC Form 0977 (N-8B-2) Registration Statement of Unit Investment Trusts Which Are Currently Issuing Securities, Page 25

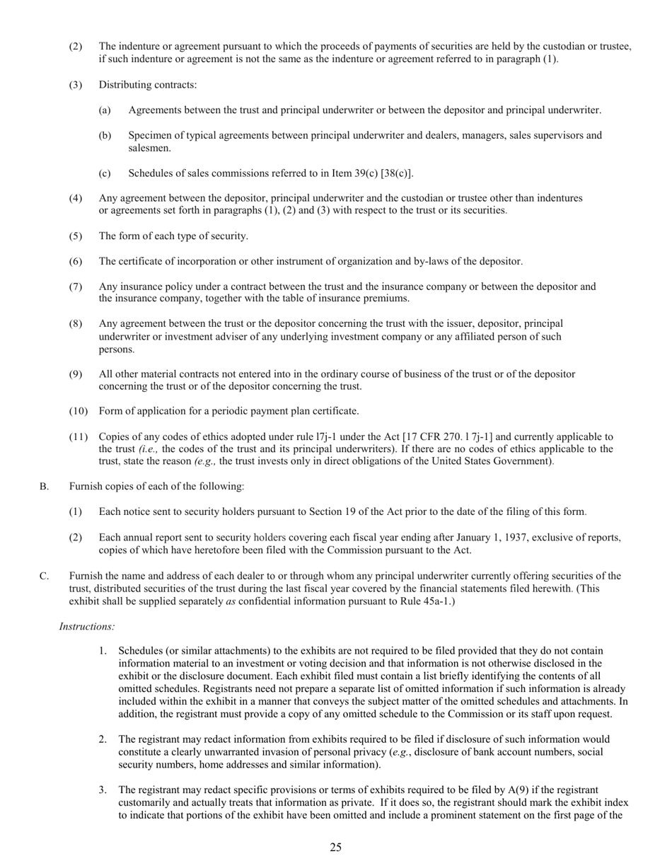
    25

  • SEC Form 0977 (N-8B-2) Registration Statement of Unit Investment Trusts Which Are Currently Issuing Securities, Page 26

    26

  • SEC Form 0977 (N-8B-2) Registration Statement of Unit Investment Trusts Which Are Currently Issuing Securities, Page 27

    27

  • SEC Form 0977 (N-8B-2) Registration Statement of Unit Investment Trusts Which Are Currently Issuing Securities, Page 28

    28

  • SEC Form 0977 (N-8B-2) Registration Statement of Unit Investment Trusts Which Are Currently Issuing Securities, Page 29

    29

  • SEC Form 0977 (N-8B-2) Registration Statement of Unit Investment Trusts Which Are Currently Issuing Securities, Page 1
  • SEC Form 0977 (N-8B-2) Registration Statement of Unit Investment Trusts Which Are Currently Issuing Securities, Page 2
  • SEC Form 0977 (N-8B-2) Registration Statement of Unit Investment Trusts Which Are Currently Issuing Securities, Page 3
  • SEC Form 0977 (N-8B-2) Registration Statement of Unit Investment Trusts Which Are Currently Issuing Securities, Page 4
  • SEC Form 0977 (N-8B-2) Registration Statement of Unit Investment Trusts Which Are Currently Issuing Securities, Page 5
  • SEC Form 0977 (N-8B-2) Registration Statement of Unit Investment Trusts Which Are Currently Issuing Securities, Page 6
  • SEC Form 0977 (N-8B-2) Registration Statement of Unit Investment Trusts Which Are Currently Issuing Securities, Page 7
  • SEC Form 0977 (N-8B-2) Registration Statement of Unit Investment Trusts Which Are Currently Issuing Securities, Page 8
  • SEC Form 0977 (N-8B-2) Registration Statement of Unit Investment Trusts Which Are Currently Issuing Securities, Page 9
  • SEC Form 0977 (N-8B-2) Registration Statement of Unit Investment Trusts Which Are Currently Issuing Securities, Page 10
  • SEC Form 0977 (N-8B-2) Registration Statement of Unit Investment Trusts Which Are Currently Issuing Securities, Page 11
  • SEC Form 0977 (N-8B-2) Registration Statement of Unit Investment Trusts Which Are Currently Issuing Securities, Page 12
  • SEC Form 0977 (N-8B-2) Registration Statement of Unit Investment Trusts Which Are Currently Issuing Securities, Page 13
  • SEC Form 0977 (N-8B-2) Registration Statement of Unit Investment Trusts Which Are Currently Issuing Securities, Page 14
  • SEC Form 0977 (N-8B-2) Registration Statement of Unit Investment Trusts Which Are Currently Issuing Securities, Page 15
  • SEC Form 0977 (N-8B-2) Registration Statement of Unit Investment Trusts Which Are Currently Issuing Securities, Page 16
  • SEC Form 0977 (N-8B-2) Registration Statement of Unit Investment Trusts Which Are Currently Issuing Securities, Page 17
  • SEC Form 0977 (N-8B-2) Registration Statement of Unit Investment Trusts Which Are Currently Issuing Securities, Page 18
  • SEC Form 0977 (N-8B-2) Registration Statement of Unit Investment Trusts Which Are Currently Issuing Securities, Page 19
  • SEC Form 0977 (N-8B-2) Registration Statement of Unit Investment Trusts Which Are Currently Issuing Securities, Page 20
  • SEC Form 0977 (N-8B-2) Registration Statement of Unit Investment Trusts Which Are Currently Issuing Securities, Page 21
  • SEC Form 0977 (N-8B-2) Registration Statement of Unit Investment Trusts Which Are Currently Issuing Securities, Page 22
  • SEC Form 0977 (N-8B-2) Registration Statement of Unit Investment Trusts Which Are Currently Issuing Securities, Page 23
  • SEC Form 0977 (N-8B-2) Registration Statement of Unit Investment Trusts Which Are Currently Issuing Securities, Page 24
  • SEC Form 0977 (N-8B-2) Registration Statement of Unit Investment Trusts Which Are Currently Issuing Securities, Page 25
  • SEC Form 0977 (N-8B-2) Registration Statement of Unit Investment Trusts Which Are Currently Issuing Securities, Page 26
  • SEC Form 0977 (N-8B-2) Registration Statement of Unit Investment Trusts Which Are Currently Issuing Securities, Page 27
  • SEC Form 0977 (N-8B-2) Registration Statement of Unit Investment Trusts Which Are Currently Issuing Securities, Page 28
  • SEC Form 0977 (N-8B-2) Registration Statement of Unit Investment Trusts Which Are Currently Issuing Securities, Page 29
Prev 1 2 3 4 5 ... 29 Next
ADVERTISEMENT

Related Documents