Form JC19 Order After Dispositional Review / Permanency Planning Hearing (Child Protective Proceedings) - Michigan

Notification Icon This version of the form is not currently in use and is provided for reference only. Download this version of Form JC19 for the current year.

Form JC19 Order After Dispositional Review / Permanency Planning Hearing (Child Protective Proceedings) - Michigan

What Is Form JC19?

This is a legal form that was released by the Michigan Juvenile Court - a government authority operating within Michigan. As of today, no separate filing guidelines for the form are provided by the issuing department.

FAQ

Q: What is a JC19 Order?
A: A JC19 Order is an order issued after a Dispositional Review/Permanency Planning Hearing in child protective proceedings.

Q: What happens during a Dispositional Review/Permanency Planning Hearing?
A: During this hearing, the court reviews the progress made in the case and plans for the long-term welfare of the child.

Q: Who is involved in the Dispositional Review/Permanency Planning Hearing?
A: The parties involved typically include the judge, the child's parents or guardians, caseworkers, and attorneys representing all parties.

Q: What does the JC19 Order determine?
A: The JC19 Order determines the specific actions and interventions necessary to ensure the child's safety, well-being, and permanency.

Q: What types of provisions can be included in a JC19 Order?
A: Provisions in a JC19 Order may include services for the family, visitation schedules, treatment plans, and goals for reunification or adoption.

Q: What is the significance of a JC19 Order?
A: A JC19 Order establishes the plan and timeline for the child's future in child protective proceedings.

Q: Is a JC19 Order enforceable?
A: Yes, a JC19 Order is legally binding and must be followed by all parties involved.

Q: Can a JC19 Order be modified?
A: Yes, a JC19 Order can be modified if there is a substantial change in circumstances or if it is determined to be in the best interest of the child.

Q: Who can request a modification of a JC19 Order?
A: Any party involved in the child protective proceedings, including the child's parents, guardians, or the child's caseworker, can request a modification of a JC19 Order.

Q: What is the purpose of a JC19 Order?
A: The purpose of a JC19 Order is to ensure the safety, well-being, and permanency of a child involved in child protective proceedings.

ADVERTISEMENT

Form Details:

  • Released on April 1, 2021;
  • The latest edition provided by the Michigan Juvenile Court;
  • Easy to use and ready to print;
  • Quick to customize;
  • Compatible with most PDF-viewing applications;
  • Fill out the form in our online filing application.

Download a fillable version of Form JC19 by clicking the link below or browse more documents and templates provided by the Michigan Juvenile Court.

Download Form JC19 Order After Dispositional Review / Permanency Planning Hearing (Child Protective Proceedings) - Michigan

4.4 of 5 (11 votes)
  • Form JC19 Order After Dispositional Review/Permanency Planning Hearing (Child Protective Proceedings) - Michigan

    1

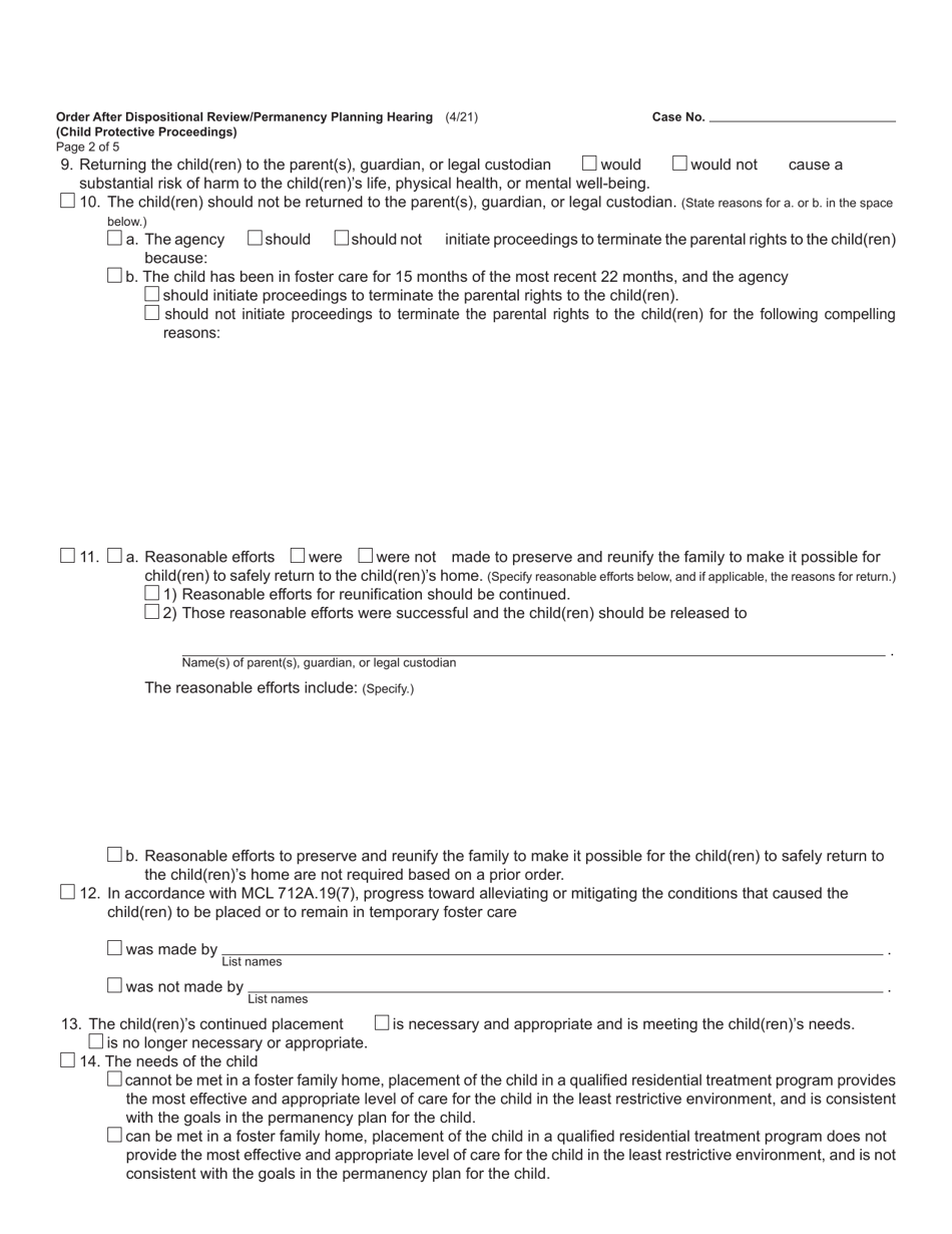
  • Form JC19 Order After Dispositional Review/Permanency Planning Hearing (Child Protective Proceedings) - Michigan, Page 2

    2

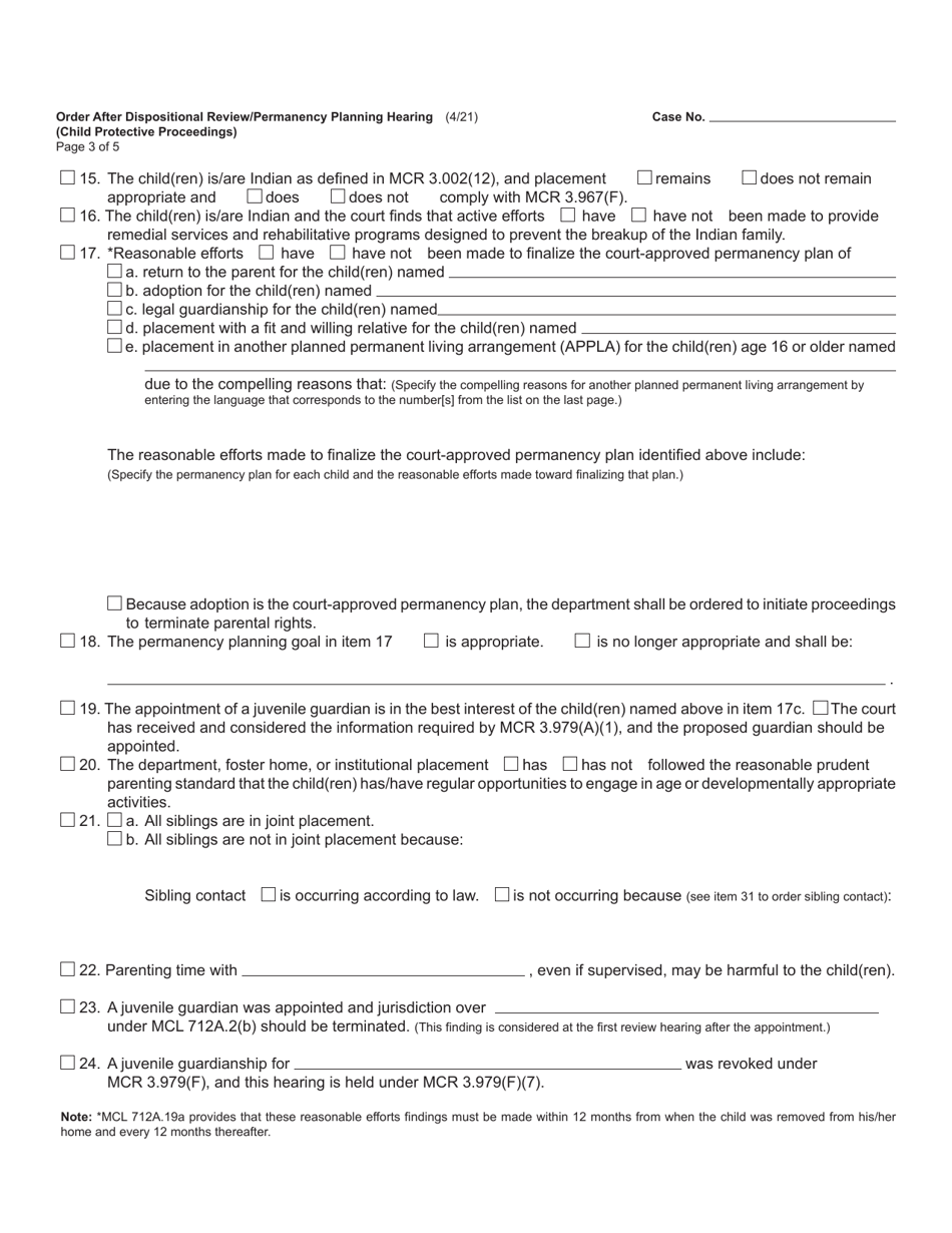
  • Form JC19 Order After Dispositional Review/Permanency Planning Hearing (Child Protective Proceedings) - Michigan, Page 3

    3

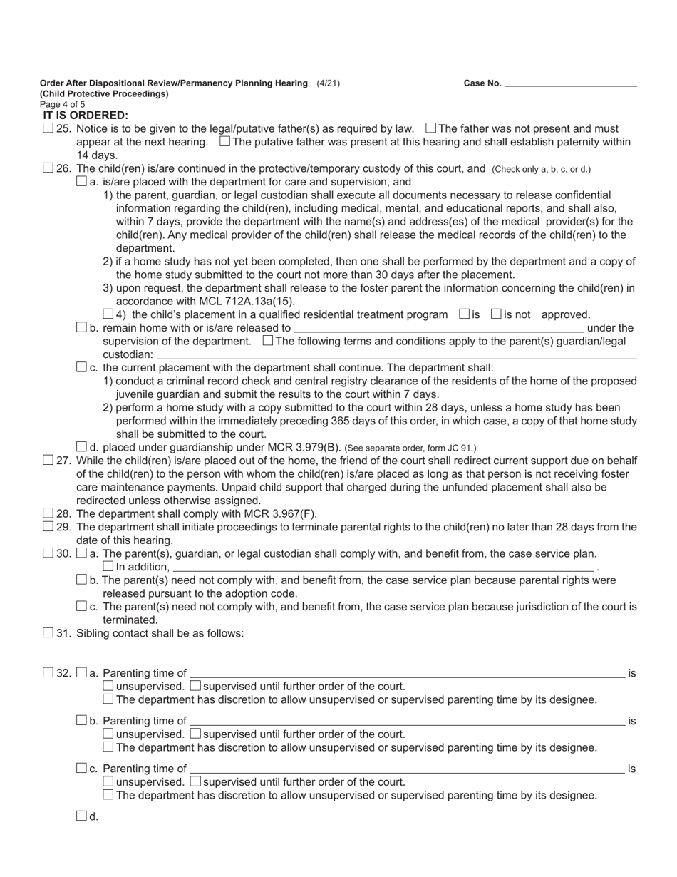
  • Form JC19 Order After Dispositional Review/Permanency Planning Hearing (Child Protective Proceedings) - Michigan, Page 4

    4

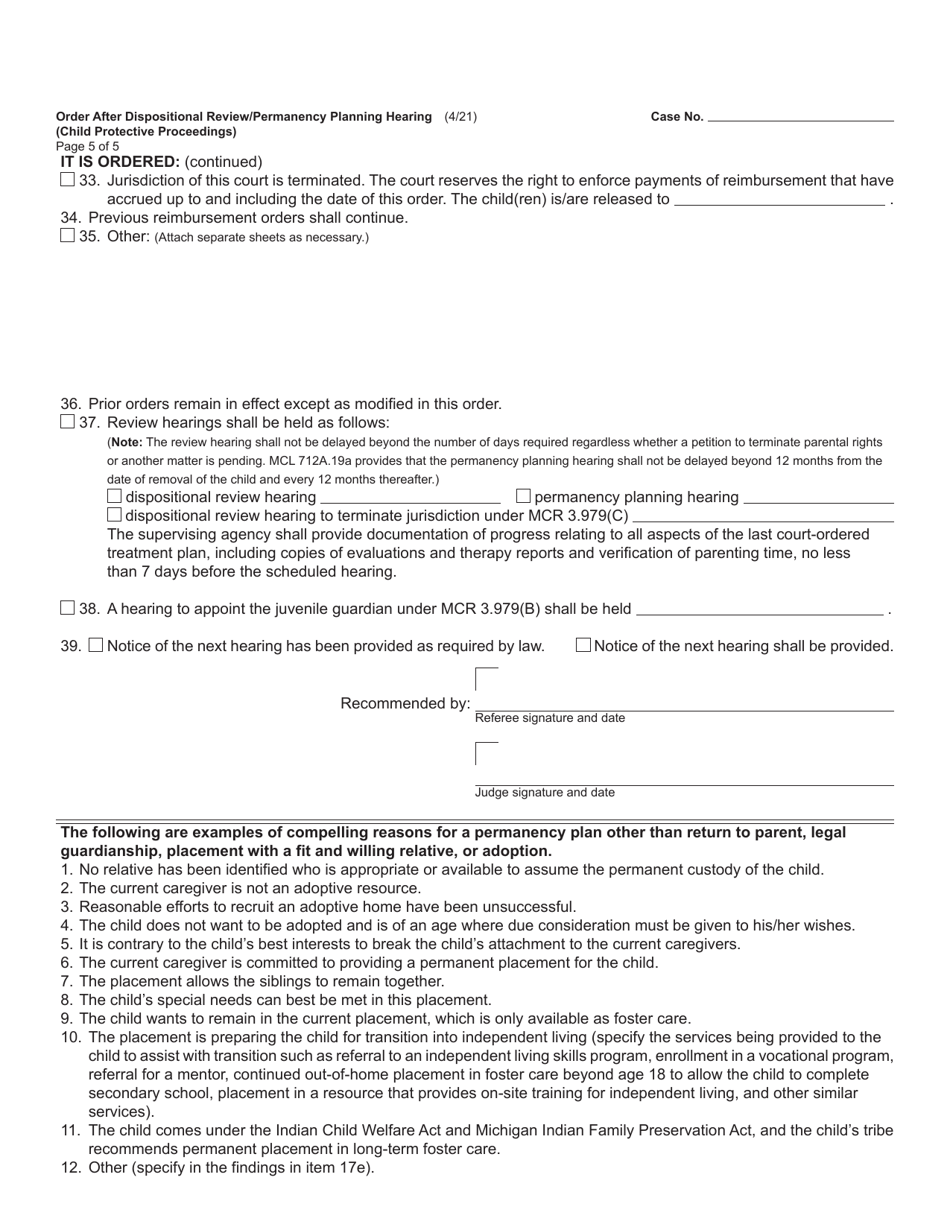
  • Form JC19 Order After Dispositional Review/Permanency Planning Hearing (Child Protective Proceedings) - Michigan, Page 5

    5

  • Form JC19 Order After Dispositional Review / Permanency Planning Hearing (Child Protective Proceedings) - Michigan, Page 1
  • Form JC19 Order After Dispositional Review / Permanency Planning Hearing (Child Protective Proceedings) - Michigan, Page 2
  • Form JC19 Order After Dispositional Review / Permanency Planning Hearing (Child Protective Proceedings) - Michigan, Page 3
  • Form JC19 Order After Dispositional Review / Permanency Planning Hearing (Child Protective Proceedings) - Michigan, Page 4
  • Form JC19 Order After Dispositional Review / Permanency Planning Hearing (Child Protective Proceedings) - Michigan, Page 5
Prev 1 2 3 4 5 Next
ADVERTISEMENT