AF Form 64 Reserve Service Commitment Acknowledgement / Declination

AF Form 64 Reserve Service Commitment Acknowledgement / Declination

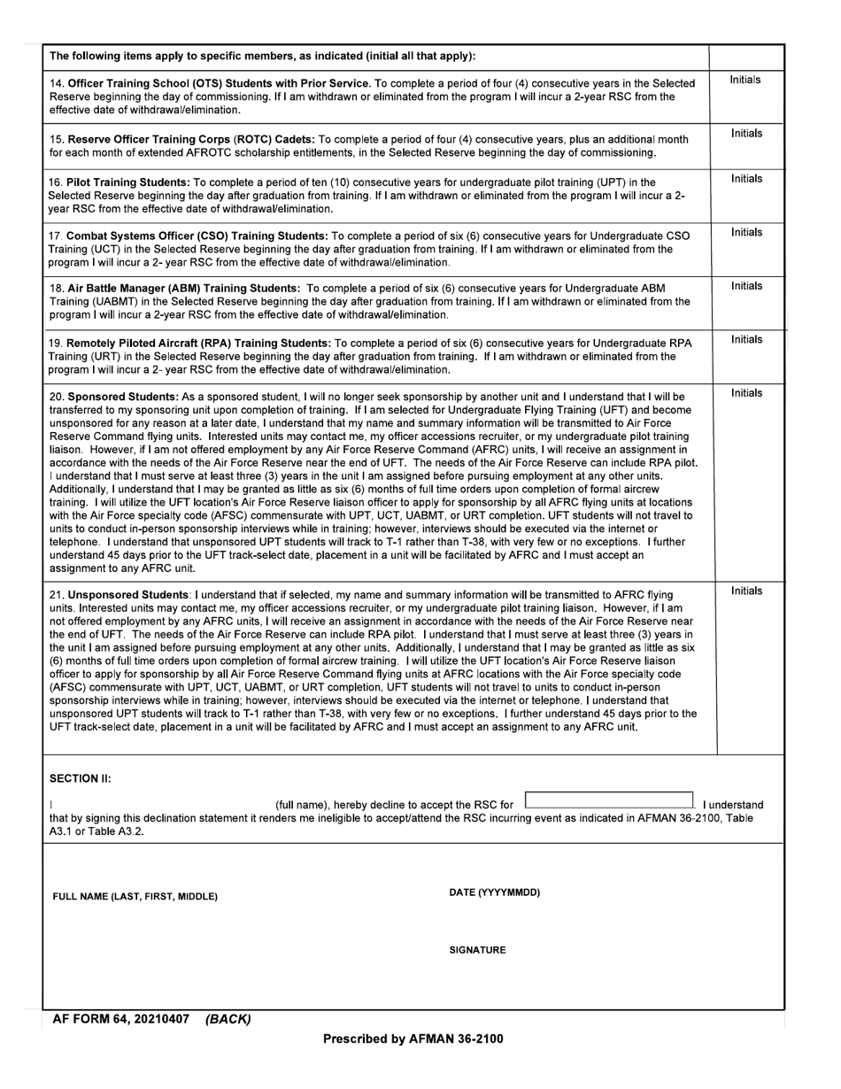
What Is AF Form 64?

This is a legal form that was released by the U.S. Air Force on April 7, 2021 and used country-wide. As of today, no separate filing guidelines for the form are provided by the issuing department.

FAQ

Q: What is AF Form 64?
A: AF Form 64 is the Reserve Service Commitment Acknowledgement/Declination form.

Q: What is the purpose of AF Form 64?
A: The purpose of AF Form 64 is to acknowledge or decline a reserve service commitment.

Q: Who uses AF Form 64?
A: AF Form 64 is used by individuals in the Air Force Reserve to acknowledge or decline their service commitment.

Q: What does AF Form 64 require?
A: AF Form 64 requires individuals to acknowledge their service commitment and provide necessary information.

ADVERTISEMENT

Form Details:

  • Released on April 7, 2021;
  • The latest available edition released by the U.S. Air Force;
  • Easy to use and ready to print;
  • Yours to fill out and keep for your records;
  • Compatible with most PDF-viewing applications;
  • Fill out the form in our online filing application.

Download a fillable version of AF Form 64 by clicking the link below or browse more documents and templates provided by the U.S. Air Force.

Download AF Form 64 Reserve Service Commitment Acknowledgement / Declination

4.6 of 5 (16 votes)
  • AF Form 64 Reserve Service Commitment Acknowledgement/Declination

    1

  • AF Form 64 Reserve Service Commitment Acknowledgement/Declination, Page 2

    2

  • AF Form 64 Reserve Service Commitment Acknowledgement / Declination, Page 1
  • AF Form 64 Reserve Service Commitment Acknowledgement / Declination, Page 2
Prev 1 2 Next
ADVERTISEMENT

Related Documents