Application for Eligibility - Federal Surplus Property Program - Pennsylvania

Application for Eligibility - Federal Surplus Property Program - Pennsylvania

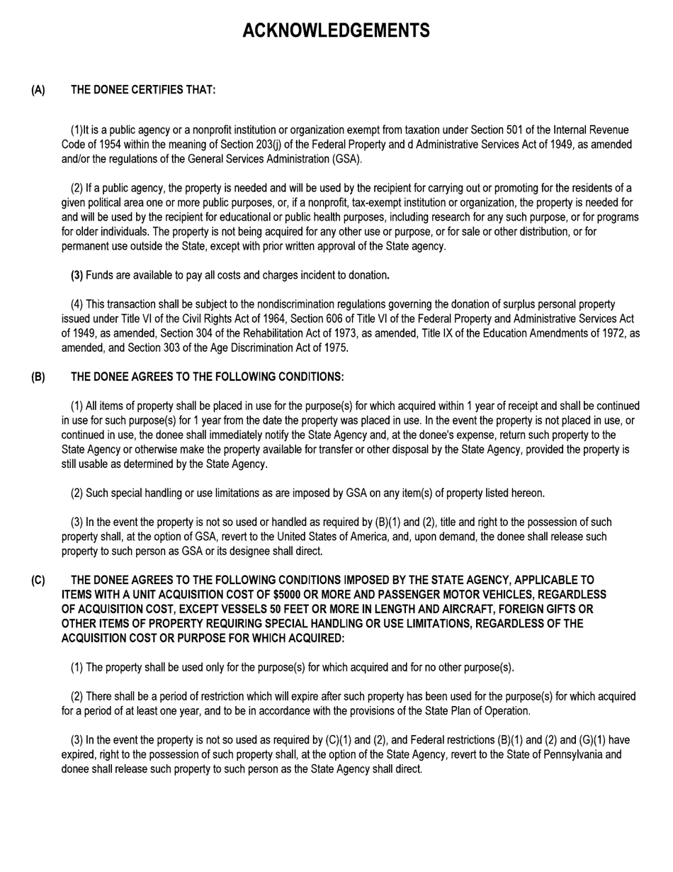
Application for Eligibility - Federal Surplus Property Program is a legal document that was released by the Pennsylvania Department of General Services - a government authority operating within Pennsylvania.

FAQ

Q: What is the Federal Surplus Property Program?
A: The Federal Surplus Property Program is a program that allows eligible organizations to obtain surplus federal property for reuse or distribution.

Q: Who is eligible for the Federal Surplus Property Program in Pennsylvania?
A: Non-profit and state and local government organizations are eligible for the Federal Surplus Property Program in Pennsylvania.

Q: How can I apply for eligibility in the Federal Surplus Property Program in Pennsylvania?
A: To apply for eligibility, organizations must complete an application form and submit it to the Pennsylvania Department of General Services, Bureau of Supplies and Surplus Operations.

Q: What are the benefits of participating in the Federal Surplus Property Program?
A: By participating in the program, organizations can acquire surplus federal property at no cost or at a significantly reduced price.

Q: What types of property are available through the Federal Surplus Property Program?
A: A wide range of property is available, including office equipment, vehicles, furniture, and more.

Q: Are there any restrictions on the use of property obtained through the program?
A: Yes, there are restrictions on the use of property obtained through the program. Property must be used for a public purpose and cannot be sold or leased.

Q: What happens if an organization no longer needs the property obtained through the program?
A: If an organization no longer needs the property, it must be returned to the program or transferred to another eligible organization.

Q: Is there a fee to participate in the Federal Surplus Property Program?
A: There is no fee to participate in the Federal Surplus Property Program.

ADVERTISEMENT

Form Details:

  • The latest edition currently provided by the Pennsylvania Department of General Services;
  • Ready to use and print;
  • Easy to customize;
  • Compatible with most PDF-viewing applications;
  • Fill out the form in our online filing application.

Download a fillable version of the form by clicking the link below or browse more documents and templates provided by the Pennsylvania Department of General Services.

Download Application for Eligibility - Federal Surplus Property Program - Pennsylvania

4.7 of 5 (28 votes)
  • Application for Eligibility - Federal Surplus Property Program - Pennsylvania

    1

  • Application for Eligibility - Federal Surplus Property Program - Pennsylvania, Page 2

    2

  • Application for Eligibility - Federal Surplus Property Program - Pennsylvania, Page 3

    3

  • Application for Eligibility - Federal Surplus Property Program - Pennsylvania, Page 4

    4

  • Application for Eligibility - Federal Surplus Property Program - Pennsylvania, Page 5

    5

  • Application for Eligibility - Federal Surplus Property Program - Pennsylvania, Page 6

    6

  • Application for Eligibility - Federal Surplus Property Program - Pennsylvania, Page 7

    7

  • Application for Eligibility - Federal Surplus Property Program - Pennsylvania, Page 8

    8

  • Application for Eligibility - Federal Surplus Property Program - Pennsylvania, Page 9

    9

  • Application for Eligibility - Federal Surplus Property Program - Pennsylvania, Page 1
  • Application for Eligibility - Federal Surplus Property Program - Pennsylvania, Page 2
  • Application for Eligibility - Federal Surplus Property Program - Pennsylvania, Page 3
  • Application for Eligibility - Federal Surplus Property Program - Pennsylvania, Page 4
  • Application for Eligibility - Federal Surplus Property Program - Pennsylvania, Page 5
  • Application for Eligibility - Federal Surplus Property Program - Pennsylvania, Page 6
  • Application for Eligibility - Federal Surplus Property Program - Pennsylvania, Page 7
  • Application for Eligibility - Federal Surplus Property Program - Pennsylvania, Page 8
  • Application for Eligibility - Federal Surplus Property Program - Pennsylvania, Page 9
Prev 1 2 3 4 5 ... 9 Next
ADVERTISEMENT

Related Documents