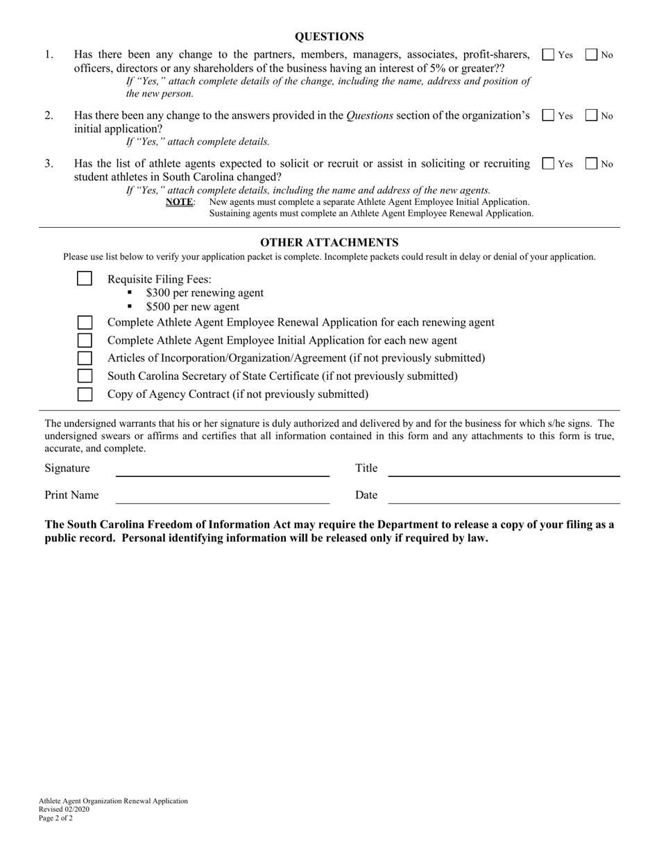
Athlete Agent Organization Renewal Application - South Carolina

Notification Icon This version of the form is not currently in use and is provided for reference only. Download this version of the document for the current year.

Athlete Agent Organization Renewal Application - South Carolina

Athlete Agent Organization Renewal Application is a legal document that was released by the South Carolina Department of Consumer Affairs - a government authority operating within South Carolina.

FAQ

Q: What is an Athlete Agent Organization Renewal Application?
A: An Athlete Agent Organization Renewal Application is a form that needs to be filled out to renew the registration of an athlete agent organization in South Carolina.

Q: Who needs to complete the Athlete Agent Organization Renewal Application?
A: Athlete agent organizations in South Carolina need to complete the renewal application to maintain their registration.

Q: What information is required in the Athlete Agent Organization Renewal Application?
A: The application typically asks for basic information about the organization, such as its name, address, and contact details.

Q: Is there a fee for the Athlete Agent Organization Renewal Application?
A: Yes, there is usually a fee associated with renewing the registration of an athlete agent organization in South Carolina.

Q: How often do I need to renew the registration of my athlete agent organization?
A: The registration of athlete agent organizations in South Carolina needs to be renewed annually.

Q: What happens if I don't renew the registration of my athlete agent organization?
A: Failure to renew the registration may result in penalties or the loss of the organization's ability to operate as an athlete agent in South Carolina.

ADVERTISEMENT

Form Details:

  • Released on February 1, 2020;
  • The latest edition currently provided by the South Carolina Department of Consumer Affairs;
  • Ready to use and print;
  • Easy to customize;
  • Compatible with most PDF-viewing applications;
  • Fill out the form in our online filing application.

Download a fillable version of the form by clicking the link below or browse more documents and templates provided by the South Carolina Department of Consumer Affairs.

Download Athlete Agent Organization Renewal Application - South Carolina

4.6 of 5 (13 votes)
  • Athlete Agent Organization Renewal Application - South Carolina

    1

  • Athlete Agent Organization Renewal Application - South Carolina, Page 2

    2

  • Athlete Agent Organization Renewal Application - South Carolina, Page 3

    3

  • Athlete Agent Organization Renewal Application - South Carolina, Page 1
  • Athlete Agent Organization Renewal Application - South Carolina, Page 2
  • Athlete Agent Organization Renewal Application - South Carolina, Page 3
Prev 1 2 3 Next
ADVERTISEMENT

Related Documents