Form SMRD-5C Application for an in-Situ Coal Gasification Permit - Texas

Form SMRD-5C Application for an in-Situ Coal Gasification Permit - Texas

What Is Form SMRD-5C?

This is a legal form that was released by the Railroad Commission of Texas - a government authority operating within Texas. As of today, no separate filing guidelines for the form are provided by the issuing department.

FAQ

Q: What is the SMRD-5C form?
A: The SMRD-5C form is the application for an in-situ coal gasification permit in Texas.

Q: What is an in-situ coal gasification permit?
A: An in-situ coal gasification permit allows for the extraction of coal gas from underground coal seams.

Q: Who can apply for an in-situ coal gasification permit in Texas?
A: Any individual, organization, or company interested in extracting coal gas in Texas can apply for this permit.

Q: What information is required in the SMRD-5C application?
A: The application requires information such as the applicant's contact details, proposed project location, technical details, and financial assurance.

Q: Are there any fees associated with the SMRD-5C application?
A: Yes, there are application fees based on the acreage of the proposed project site.

Q: What is the purpose of the SMRD-5C application?
A: The purpose of the SMRD-5C application is to obtain a permit to conduct in-situ coal gasification activities in Texas, while ensuring compliance with environmental regulations.

Q: Are there any environmental regulations associated with in-situ coal gasification?
A: Yes, in-situ coal gasification activities must comply with various environmental regulations to protect air and water quality, and minimize environmental impacts.

Q: What is the role of the Texas Department of Environmental Quality (TCEQ) in the SMRD-5C application process?
A: The TCEQ is responsible for reviewing and approving SMRD-5C applications, ensuring compliance with environmental regulations, and monitoring ongoing projects.

Q: How long does it take to process the SMRD-5C application?
A: The processing time for an SMRD-5C application varies depending on the complexity of the project, but it typically takes several months to complete the review process.

ADVERTISEMENT

Form Details:

  • Released on January 1, 1986;
  • The latest edition provided by the Railroad Commission of Texas;
  • Easy to use and ready to print;
  • Quick to customize;
  • Compatible with most PDF-viewing applications;
  • Fill out the form in our online filing application.

Download a printable version of Form SMRD-5C by clicking the link below or browse more documents and templates provided by the Railroad Commission of Texas.

Download Form SMRD-5C Application for an in-Situ Coal Gasification Permit - Texas

4.7 of 5 (16 votes)
  • Form SMRD-5C Application for an in-Situ Coal Gasification Permit - Texas

    1

  • Form SMRD-5C Application for an in-Situ Coal Gasification Permit - Texas, Page 2

    2

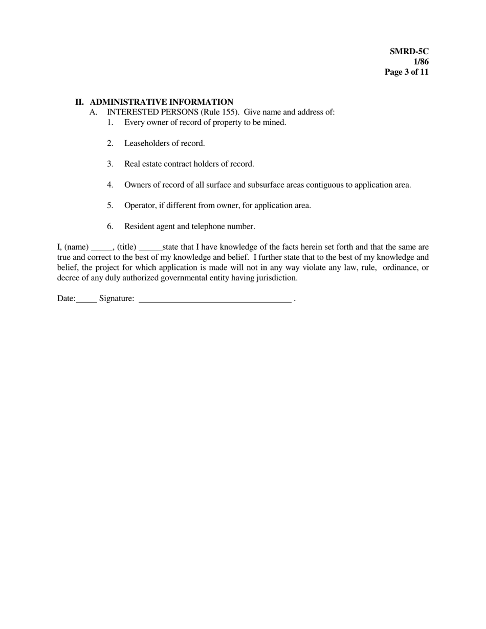
  • Form SMRD-5C Application for an in-Situ Coal Gasification Permit - Texas, Page 3

    3

  • Form SMRD-5C Application for an in-Situ Coal Gasification Permit - Texas, Page 4

    4

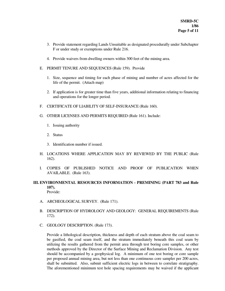
  • Form SMRD-5C Application for an in-Situ Coal Gasification Permit - Texas, Page 5

    5

  • Form SMRD-5C Application for an in-Situ Coal Gasification Permit - Texas, Page 6

    6

  • Form SMRD-5C Application for an in-Situ Coal Gasification Permit - Texas, Page 7

    7

  • Form SMRD-5C Application for an in-Situ Coal Gasification Permit - Texas, Page 8

    8

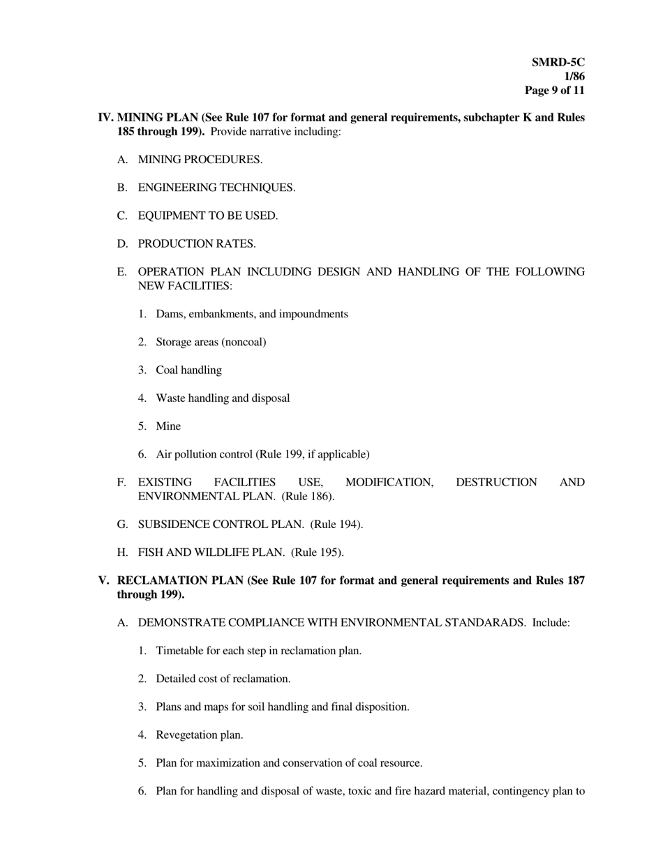
  • Form SMRD-5C Application for an in-Situ Coal Gasification Permit - Texas, Page 9

    9

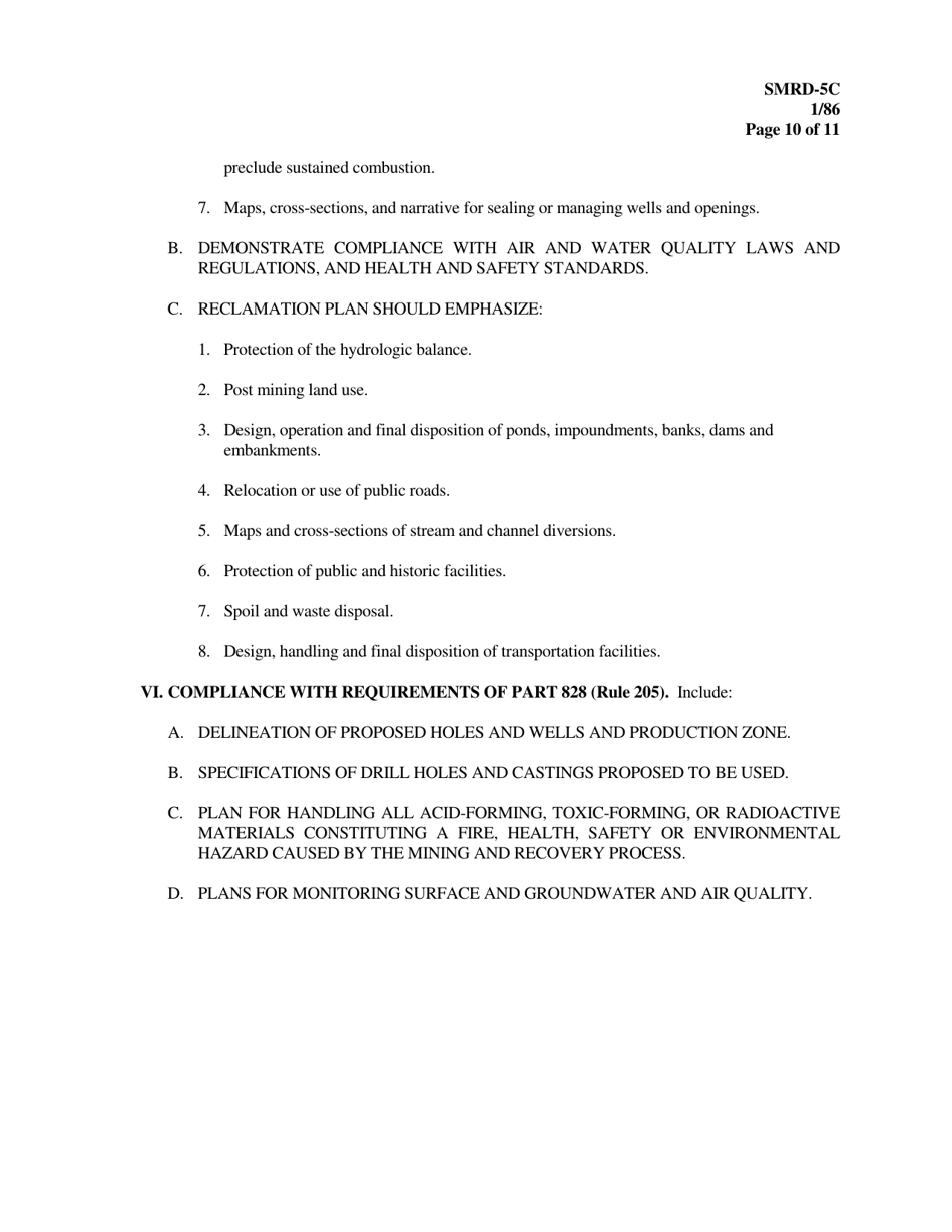
  • Form SMRD-5C Application for an in-Situ Coal Gasification Permit - Texas, Page 10

    10

  • Form SMRD-5C Application for an in-Situ Coal Gasification Permit - Texas, Page 11

    11

  • Form SMRD-5C Application for an in-Situ Coal Gasification Permit - Texas, Page 1
  • Form SMRD-5C Application for an in-Situ Coal Gasification Permit - Texas, Page 2
  • Form SMRD-5C Application for an in-Situ Coal Gasification Permit - Texas, Page 3
  • Form SMRD-5C Application for an in-Situ Coal Gasification Permit - Texas, Page 4
  • Form SMRD-5C Application for an in-Situ Coal Gasification Permit - Texas, Page 5
  • Form SMRD-5C Application for an in-Situ Coal Gasification Permit - Texas, Page 6
  • Form SMRD-5C Application for an in-Situ Coal Gasification Permit - Texas, Page 7
  • Form SMRD-5C Application for an in-Situ Coal Gasification Permit - Texas, Page 8
  • Form SMRD-5C Application for an in-Situ Coal Gasification Permit - Texas, Page 9
  • Form SMRD-5C Application for an in-Situ Coal Gasification Permit - Texas, Page 10
  • Form SMRD-5C Application for an in-Situ Coal Gasification Permit - Texas, Page 11
Prev 1 2 3 4 5 ... 11 Next
ADVERTISEMENT

Related Documents