Form PR-1 Peer Review Reporting Form - California

Notification Icon This version of the form is not currently in use and is provided for reference only. Download this version of Form PR-1 for the current year.

Form PR-1 Peer Review Reporting Form - California

What Is Form PR-1?

This is a legal form that was released by the California Department of Consumer Affairs - Board of Accountancy - a government authority operating within California. As of today, no separate filing guidelines for the form are provided by the issuing department.

FAQ

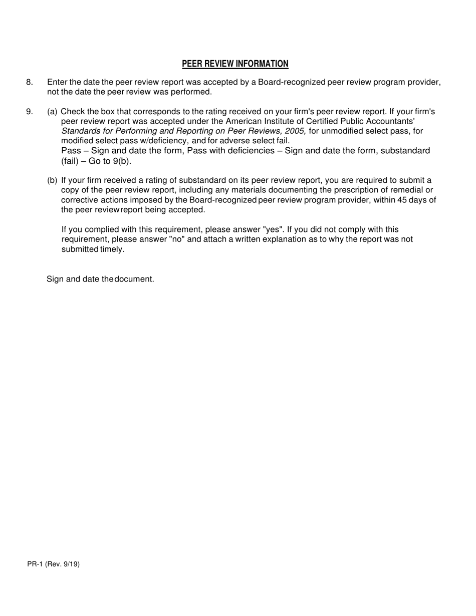
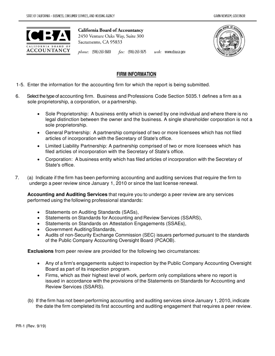
Q: What is PR-1 Peer Review Reporting Form?
A: PR-1 Peer Review Reporting Form is a reporting form used in California for peer review processes.

Q: Who uses PR-1 Peer Review Reporting Form?
A: PR-1 Peer Review Reporting Form is used by healthcare organizations in California.

Q: What is the purpose of PR-1 Peer Review Reporting Form?
A: The purpose of PR-1 Peer Review Reporting Form is to document and report the outcome of peer review activities.

Q: What information is included in PR-1 Peer Review Reporting Form?
A: PR-1 Peer Review Reporting Form typically includes information about the healthcare professional being reviewed, the nature of the review, the findings and recommendations, and any follow-up actions taken.

Q: Is PR-1 Peer Review Reporting Form confidential?
A: Yes, PR-1 Peer Review Reporting Form is generally considered confidential and is protected by state laws regarding peer review.

Q: What happens after PR-1 Peer Review Reporting Form is submitted?
A: After PR-1 Peer Review Reporting Form is submitted, the healthcare organization may take appropriate actions based on the findings and recommendations, such as providing additional training or taking disciplinary measures.

ADVERTISEMENT

Form Details:

  • Released on September 1, 2019;
  • The latest edition provided by the California Department of Consumer Affairs - Board of Accountancy;
  • Easy to use and ready to print;
  • Quick to customize;
  • Compatible with most PDF-viewing applications;
  • Fill out the form in our online filing application.

Download a fillable version of Form PR-1 by clicking the link below or browse more documents and templates provided by the California Department of Consumer Affairs - Board of Accountancy.

Download Form PR-1 Peer Review Reporting Form - California

4.8 of 5 (30 votes)
  • Form PR-1 Peer Review Reporting Form - California

    1

  • Form PR-1 Peer Review Reporting Form - California, Page 2

    2

  • Form PR-1 Peer Review Reporting Form - California, Page 3

    3

  • Form PR-1 Peer Review Reporting Form - California, Page 4

    4

  • Form PR-1 Peer Review Reporting Form - California, Page 1
  • Form PR-1 Peer Review Reporting Form - California, Page 2
  • Form PR-1 Peer Review Reporting Form - California, Page 3
  • Form PR-1 Peer Review Reporting Form - California, Page 4
Prev 1 2 3 4 Next
ADVERTISEMENT