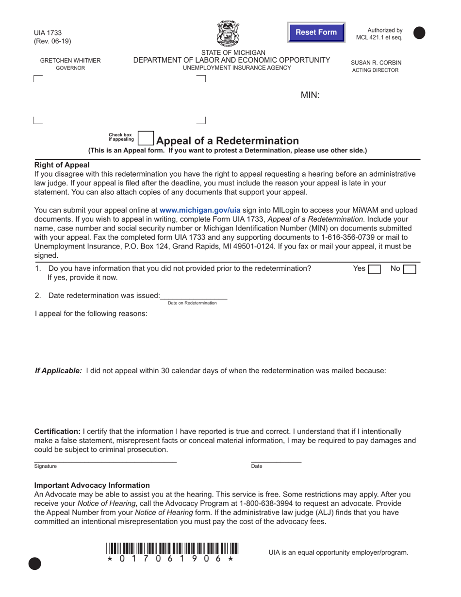
Form UIA1733 Protest of a Determination / Appeal of a Redetermination - Michigan

Notification Icon This version of the form is not currently in use and is provided for reference only. Download this version of Form UIA1733 for the current year.

Form UIA1733 Protest of a Determination / Appeal of a Redetermination - Michigan

What Is Form UIA1733?

This is a legal form that was released by the Michigan Department of Labor and Economic Opportunity - a government authority operating within Michigan. As of today, no separate filing guidelines for the form are provided by the issuing department.

FAQ

Q: What is Form UIA1733?
A: Form UIA1733 is the Protest of a Determination/Appeal of a Redetermination form in Michigan.

Q: What is the purpose of Form UIA1733?
A: The purpose of Form UIA1733 is to protest a determination or appeal a redetermination made by the Unemployment Insurance Agency (UIA) in Michigan.

Q: What information do I need to provide in Form UIA1733?
A: You need to provide your personal information, details of the determination or redetermination you are protesting or appealing, and any supporting documents or evidence.

Q: Is there a deadline for submitting Form UIA1733?
A: Yes, there is a deadline for submitting Form UIA1733. It is important to check the specific deadline mentioned in the determination or redetermination notice you received.

Q: Can I get assistance in filling out Form UIA1733?
A: Yes, you can get assistance in filling out Form UIA1733 by contacting the Michigan Unemployment Insurance Agency or visiting your local UIA office.

ADVERTISEMENT

Form Details:

  • Released on June 1, 2019;
  • The latest edition provided by the Michigan Department of Labor and Economic Opportunity;
  • Easy to use and ready to print;
  • Quick to customize;
  • Compatible with most PDF-viewing applications;
  • Fill out the form in our online filing application.

Download a fillable version of Form UIA1733 by clicking the link below or browse more documents and templates provided by the Michigan Department of Labor and Economic Opportunity.

Download Form UIA1733 Protest of a Determination / Appeal of a Redetermination - Michigan

4.4 of 5 (15 votes)
  • Form UIA1733 Protest of a Determination/Appeal of a Redetermination - Michigan

    1

  • Form UIA1733 Protest of a Determination/Appeal of a Redetermination - Michigan, Page 2

    2

  • Form UIA1733 Protest of a Determination / Appeal of a Redetermination - Michigan, Page 1
  • Form UIA1733 Protest of a Determination / Appeal of a Redetermination - Michigan, Page 2
Prev 1 2 Next
ADVERTISEMENT