Grant Application Form for Project Objectives and Performance Measures Information

Grant Application Form for Project Objectives and Performance Measures Information

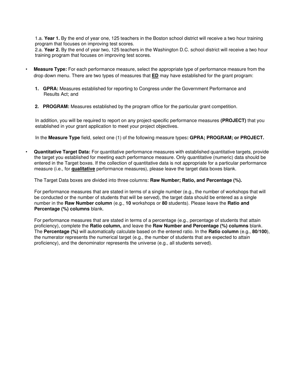
Grant Application Form for Project Objectives and Performance Measures Information is a 3-page legal document that was released by the U.S. Department of Education and used nation-wide.

FAQ

Q: What is a grant application form?
A: A grant application form is a document used to request funding for a project.

Q: What are project objectives?
A: Project objectives are specific goals that a project aims to achieve.

Q: What are performance measures?
A: Performance measures are specific indicators used to assess the success or effectiveness of a project.

Q: Why is information on project objectives and performance measures important in a grant application form?
A: Information on project objectives and performance measures is important in a grant application form to demonstrate a clear plan and how the project's success will be measured.

Q: What should be included in the information on project objectives?
A: Information on project objectives should include clear and measurable goals that the project intends to achieve.

Q: What should be included in the information on performance measures?
A: Information on performance measures should include specific indicators or metrics that will be used to determine the project's success.

Q: How can project objectives and performance measures be described effectively in a grant application form?
A: Project objectives and performance measures can be described effectively by being clear, concise, and aligned with the overall goals of the project.

Q: How can the importance of project objectives and performance measures be emphasized in a grant application form?
A: The importance of project objectives and performance measures can be emphasized by explaining how they will contribute to the desired outcomes of the project and the overall impact it will have.

ADVERTISEMENT

Form Details:

  • The latest edition currently provided by the U.S. Department of Education;
  • Ready to use and print;
  • Easy to customize;
  • Compatible with most PDF-viewing applications;
  • Fill out the form in our online filing application.

Download a printable version of the form by clicking the link below or browse more legal forms and templates provided by the issuing department.

Download Grant Application Form for Project Objectives and Performance Measures Information

4.5 of 5 (24 votes)
  • Grant Application Form for Project Objectives and Performance Measures Information

    1

  • Grant Application Form for Project Objectives and Performance Measures Information, Page 2

    2

  • Grant Application Form for Project Objectives and Performance Measures Information, Page 3

    3

  • Grant Application Form for Project Objectives and Performance Measures Information, Page 1
  • Grant Application Form for Project Objectives and Performance Measures Information, Page 2
  • Grant Application Form for Project Objectives and Performance Measures Information, Page 3
Prev 1 2 3 Next
ADVERTISEMENT

Related Documents