Form ODM10244 Step Therapy Exemption Request - Ohio

Form ODM10244 Step Therapy Exemption Request - Ohio

What Is Form ODM10244?

This is a legal form that was released by the Ohio Department of Medicaid - a government authority operating within Ohio. As of today, no separate filing guidelines for the form are provided by the issuing department.

FAQ

Q: What is the Form ODM10244?
A: Form ODM10244 is the Step Therapy Exemption Request form specifically designed for residents of Ohio.

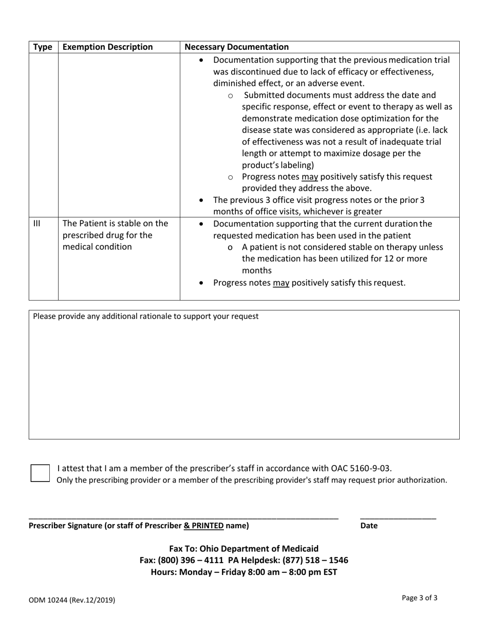
Q: What is Step Therapy?
A: Step Therapy is a process used by insurance companies to manage costs by requiring patients to try less expensive medications first before approving coverage for more expensive ones.

Q: What is a Step Therapy Exemption Request?
A: A Step Therapy Exemption Request is a formal request made by a patient or healthcare provider to bypass the step therapy process and receive coverage for a specific medication from the start.

Q: Who needs to fill out the Form ODM10244?
A: The Form ODM10244 needs to be filled out by Ohio residents who are requesting an exemption from Step Therapy for a specific medication.

ADVERTISEMENT

Form Details:

  • Released on December 1, 2019;
  • The latest edition provided by the Ohio Department of Medicaid;
  • Easy to use and ready to print;
  • Quick to customize;
  • Compatible with most PDF-viewing applications;
  • Fill out the form in our online filing application.

Download a fillable version of Form ODM10244 by clicking the link below or browse more documents and templates provided by the Ohio Department of Medicaid.

Download Form ODM10244 Step Therapy Exemption Request - Ohio

4.5 of 5 (21 votes)
  • Form ODM10244 Step Therapy Exemption Request - Ohio

    1

  • Form ODM10244 Step Therapy Exemption Request - Ohio, Page 2

    2

  • Form ODM10244 Step Therapy Exemption Request - Ohio, Page 3

    3

  • Form ODM10244 Step Therapy Exemption Request - Ohio, Page 1
  • Form ODM10244 Step Therapy Exemption Request - Ohio, Page 2
  • Form ODM10244 Step Therapy Exemption Request - Ohio, Page 3
Prev 1 2 3 Next
ADVERTISEMENT