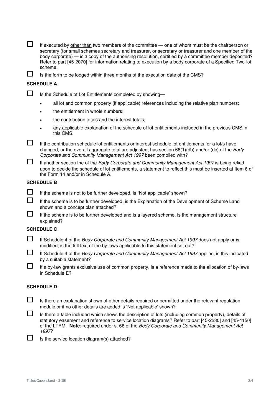
Form 14 Preparation Checklist - General Request and New Community Management Statement - Queensland, Australia

Form 14 Preparation Checklist - General Request and New Community Management Statement - Queensland, Australia

FAQ

Q: What is a Form 14?
A: Form 14 is a document used in Queensland, Australia for a general request and new community management statement.

Q: What is the purpose of Form 14?
A: The purpose of Form 14 is to provide a checklist for the preparation of a general request and new community management statement.

Q: Who uses Form 14?
A: Form 14 is used by individuals or entities in Queensland, Australia who need to prepare a general request and new community management statement.

Q: What is a general request?
A: A general request is a formal written request made by an individual or entity to a body corporate for certain actions or decisions.

Q: What is a community management statement?
A: A community management statement is a document that sets out the rules and regulations for the management of a community titles scheme in Queensland.

Q: Why is it important to prepare a Form 14 correctly?
A: It is important to prepare Form 14 correctly to ensure that all necessary information and requirements are included, and to avoid any delays or issues with the general request and new community management statement process.

Q: Are there any fees associated with submitting Form 14?
A: Yes, there may be fees associated with submitting Form 14. The exact fees will depend on the specific circumstances and requirements of the general request and new community management statement.

ADVERTISEMENT

Download Form 14 Preparation Checklist - General Request and New Community Management Statement - Queensland, Australia

4.8 of 5 (29 votes)
  • Form 14 Preparation Checklist - General Request and New Community Management Statement - Queensland, Australia

    1

  • Form 14 Preparation Checklist - General Request and New Community Management Statement - Queensland, Australia, Page 2

    2

  • Form 14 Preparation Checklist - General Request and New Community Management Statement - Queensland, Australia, Page 3

    3

  • Form 14 Preparation Checklist - General Request and New Community Management Statement - Queensland, Australia, Page 4

    4

  • Form 14 Preparation Checklist - General Request and New Community Management Statement - Queensland, Australia, Page 1
  • Form 14 Preparation Checklist - General Request and New Community Management Statement - Queensland, Australia, Page 2
  • Form 14 Preparation Checklist - General Request and New Community Management Statement - Queensland, Australia, Page 3
  • Form 14 Preparation Checklist - General Request and New Community Management Statement - Queensland, Australia, Page 4
Prev 1 2 3 4 Next
ADVERTISEMENT