Form CDTFA-401-A State, Local, and District Sales and Use Tax Return - California

Notification Icon This version of the form is not currently in use and is provided for reference only. Download this version of Form CDTFA-401-A for the current year.

Form CDTFA-401-A State, Local, and District Sales and Use Tax Return - California

What Is Form CDTFA-401-A?

This is a legal form that was released by the California Department of Tax and Fee Administration - a government authority operating within California. Check the official instructions before completing and submitting the form.

FAQ

Q: What is the Form CDTFA-401-A?
A: The Form CDTFA-401-A is the State, Local, and District Sales and Use Tax Return for California.

Q: What is the purpose of Form CDTFA-401-A?
A: Form CDTFA-401-A is used to report and remit sales and use taxes collected in California.

Q: Who is required to file Form CDTFA-401-A?
A: Businesses that are registered for sales and use tax in California are required to file Form CDTFA-401-A.

Q: How often do I need to file Form CDTFA-401-A?
A: The filing frequency for Form CDTFA-401-A depends on the amount of sales and use tax liability. It can be filed monthly, quarterly, or annually.

Q: What information is required on Form CDTFA-401-A?
A: Form CDTFA-401-A requires information about your business, sales and use tax liability, and deductions or credits.

Q: Are there any penalties for late filing or non-filing of Form CDTFA-401-A?
A: Yes, there are penalties for late filing or non-filing of Form CDTFA-401-A, including interest charges and possible legal action.

Q: When is Form CDTFA-401-A due?
A: The due date for Form CDTFA-401-A depends on the filing frequency. It is typically due by the end of the month following the reporting period.

ADVERTISEMENT

Form Details:

  • Released on July 1, 2021;
  • The latest edition provided by the California Department of Tax and Fee Administration;
  • Easy to use and ready to print;
  • Quick to customize;
  • Compatible with most PDF-viewing applications;
  • Fill out the form in our online filing application.

Download a fillable version of Form CDTFA-401-A by clicking the link below or browse more documents and templates provided by the California Department of Tax and Fee Administration.

Download Form CDTFA-401-A State, Local, and District Sales and Use Tax Return - California

4.3 of 5 (21 votes)
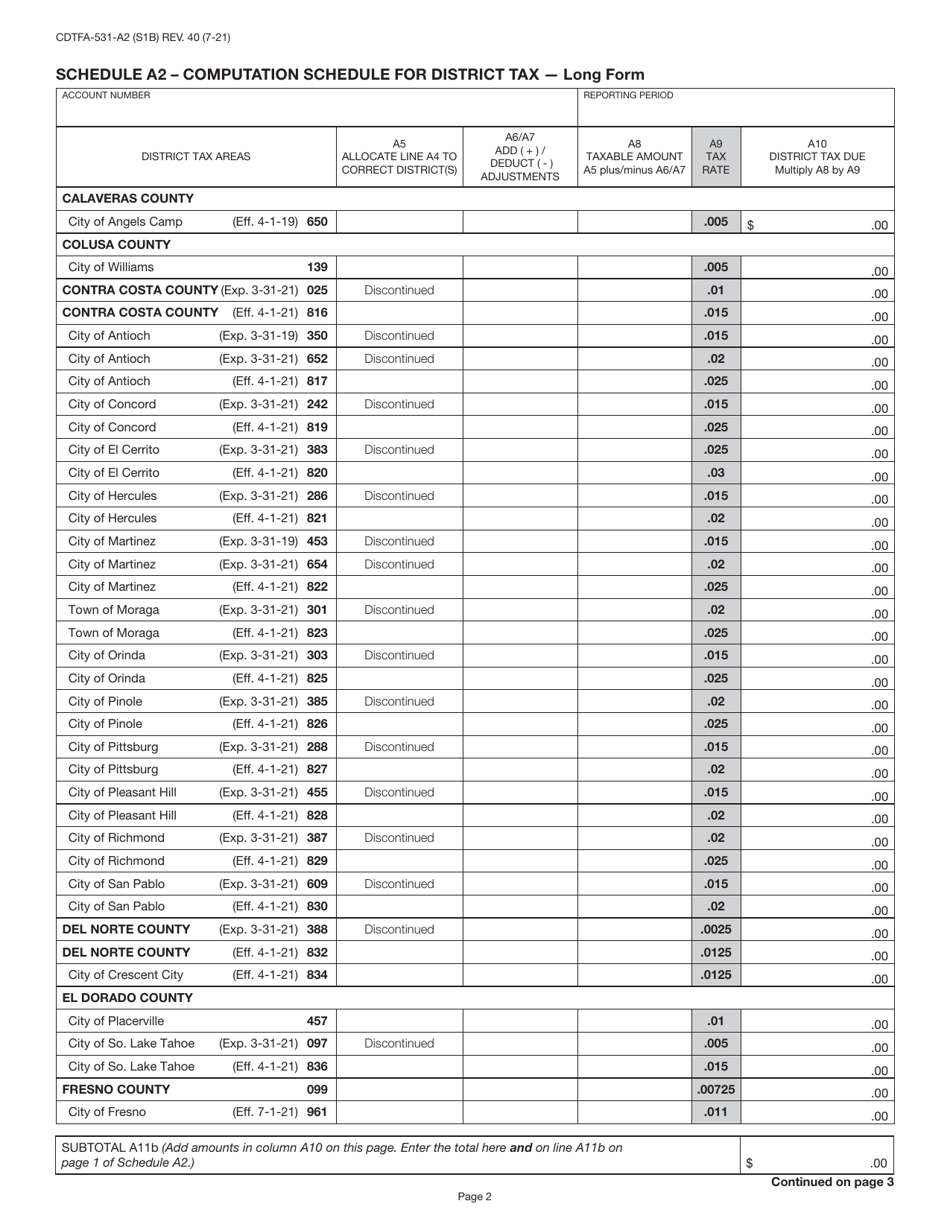
  • Form CDTFA-401-A State, Local, and District Sales and Use Tax Return - California

    1

  • Form CDTFA-401-A State, Local, and District Sales and Use Tax Return - California, Page 2

    2

  • Form CDTFA-401-A State, Local, and District Sales and Use Tax Return - California, Page 3

    3

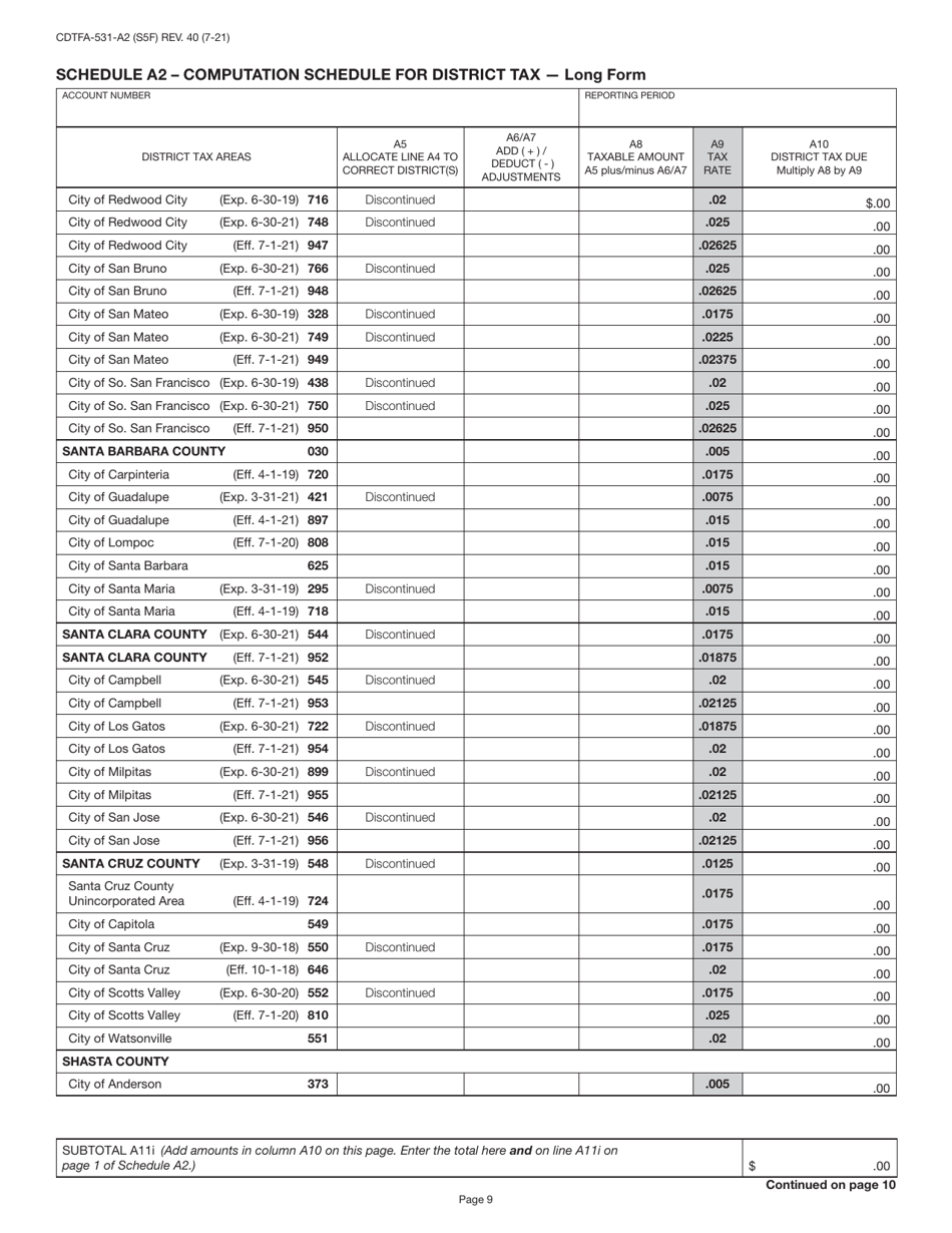
  • Form CDTFA-401-A State, Local, and District Sales and Use Tax Return - California, Page 4

    4

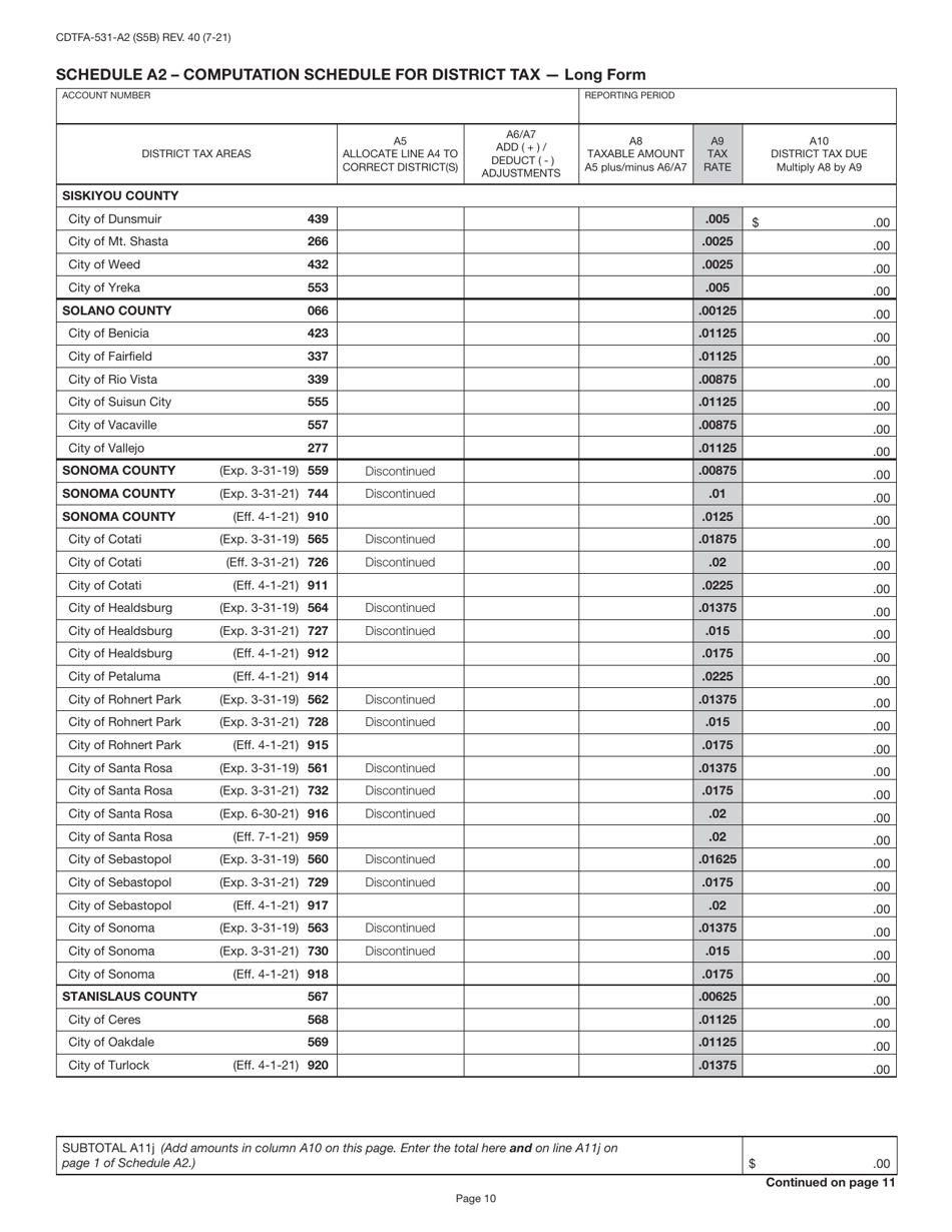
  • Form CDTFA-401-A State, Local, and District Sales and Use Tax Return - California, Page 5

    5

  • Form CDTFA-401-A State, Local, and District Sales and Use Tax Return - California, Page 6

    6

  • Form CDTFA-401-A State, Local, and District Sales and Use Tax Return - California, Page 7

    7

  • Form CDTFA-401-A State, Local, and District Sales and Use Tax Return - California, Page 8

    8

  • Form CDTFA-401-A State, Local, and District Sales and Use Tax Return - California, Page 9

    9

  • Form CDTFA-401-A State, Local, and District Sales and Use Tax Return - California, Page 10

    10

  • Form CDTFA-401-A State, Local, and District Sales and Use Tax Return - California, Page 11

    11

  • Form CDTFA-401-A State, Local, and District Sales and Use Tax Return - California, Page 12

    12

  • Form CDTFA-401-A State, Local, and District Sales and Use Tax Return - California, Page 13

    13

  • Form CDTFA-401-A State, Local, and District Sales and Use Tax Return - California, Page 14

    14

  • Form CDTFA-401-A State, Local, and District Sales and Use Tax Return - California, Page 15

    15

  • Form CDTFA-401-A State, Local, and District Sales and Use Tax Return - California, Page 16

    16

  • Form CDTFA-401-A State, Local, and District Sales and Use Tax Return - California, Page 1
  • Form CDTFA-401-A State, Local, and District Sales and Use Tax Return - California, Page 2
  • Form CDTFA-401-A State, Local, and District Sales and Use Tax Return - California, Page 3
  • Form CDTFA-401-A State, Local, and District Sales and Use Tax Return - California, Page 4
  • Form CDTFA-401-A State, Local, and District Sales and Use Tax Return - California, Page 5
  • Form CDTFA-401-A State, Local, and District Sales and Use Tax Return - California, Page 6
  • Form CDTFA-401-A State, Local, and District Sales and Use Tax Return - California, Page 7
  • Form CDTFA-401-A State, Local, and District Sales and Use Tax Return - California, Page 8
  • Form CDTFA-401-A State, Local, and District Sales and Use Tax Return - California, Page 9
  • Form CDTFA-401-A State, Local, and District Sales and Use Tax Return - California, Page 10
  • Form CDTFA-401-A State, Local, and District Sales and Use Tax Return - California, Page 11
  • Form CDTFA-401-A State, Local, and District Sales and Use Tax Return - California, Page 12
  • Form CDTFA-401-A State, Local, and District Sales and Use Tax Return - California, Page 13
  • Form CDTFA-401-A State, Local, and District Sales and Use Tax Return - California, Page 14
  • Form CDTFA-401-A State, Local, and District Sales and Use Tax Return - California, Page 15
  • Form CDTFA-401-A State, Local, and District Sales and Use Tax Return - California, Page 16
Prev 1 2 3 4 5 ... 16 Next
ADVERTISEMENT

Related Documents