Form JC48 Notice of Proceedings Concerning an Indian Child - Michigan

Notification Icon This version of the form is not currently in use and is provided for reference only. Download this version of Form JC48 for the current year.

Form JC48 Notice of Proceedings Concerning an Indian Child - Michigan

What Is Form JC48?

This is a legal form that was released by the Michigan Juvenile Court - a government authority operating within Michigan. As of today, no separate filing guidelines for the form are provided by the issuing department.

FAQ

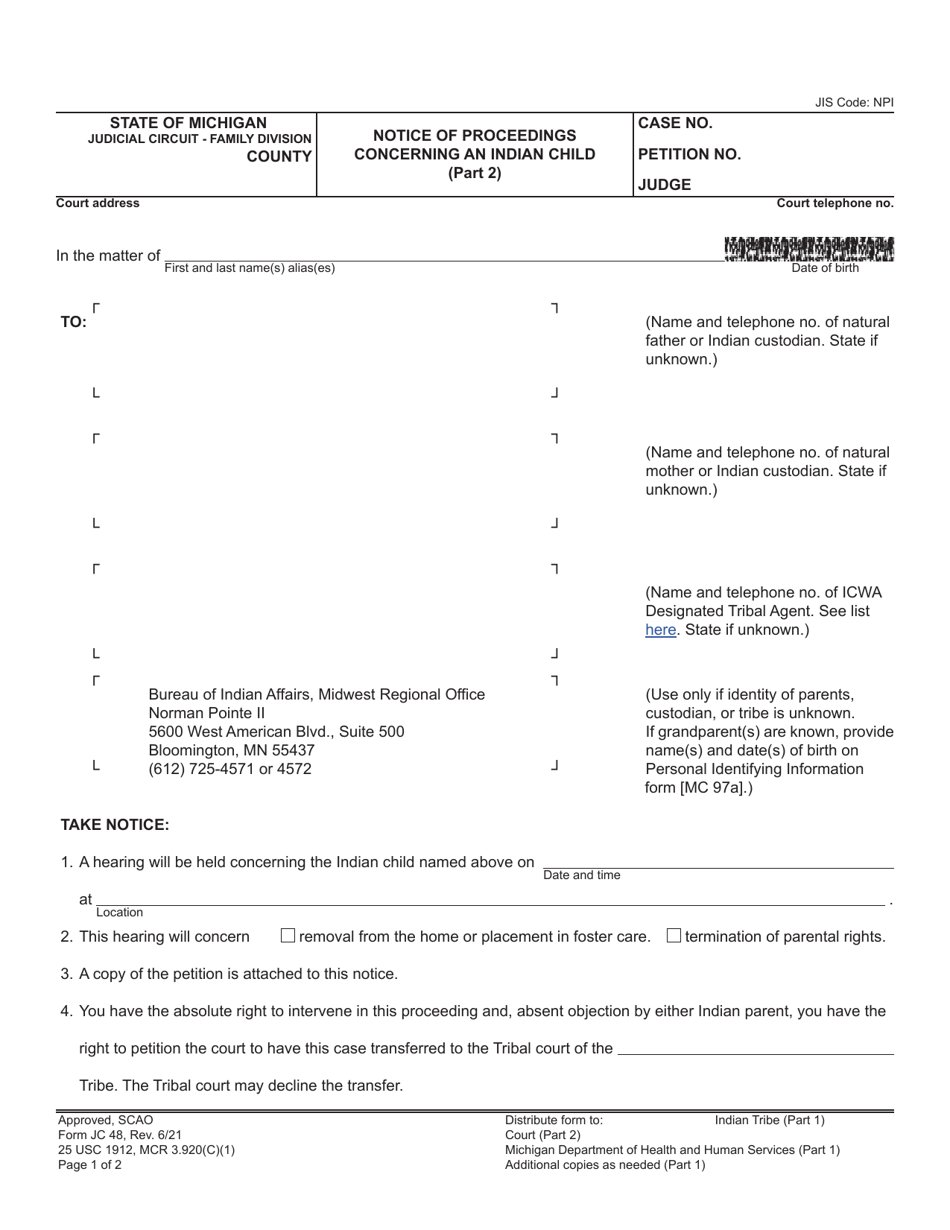
Q: What is a Form JC48?
A: Form JC48 is a Notice of Proceedings Concerning an Indian Child.

Q: What is the purpose of Form JC48?
A: The purpose of Form JC48 is to provide notice to Indian tribes or organizations regarding child custody proceedings involving an Indian child.

Q: Who uses Form JC48?
A: Form JC48 is used by the state of Michigan in child custody proceedings involving an Indian child.

Q: What information is included in Form JC48?
A: Form JC48 includes information about the child, their parents, the court proceedings, and the Indian tribe or organization that should be notified.

Q: How is Form JC48 submitted?
A: Form JC48 is usually submitted to the Indian tribe or organization by certified mail or personal service.

ADVERTISEMENT

Form Details:

  • Released on June 1, 2021;
  • The latest edition provided by the Michigan Juvenile Court;
  • Easy to use and ready to print;
  • Quick to customize;
  • Compatible with most PDF-viewing applications;
  • Fill out the form in our online filing application.

Download a fillable version of Form JC48 by clicking the link below or browse more documents and templates provided by the Michigan Juvenile Court.

Download Form JC48 Notice of Proceedings Concerning an Indian Child - Michigan

4.8 of 5 (22 votes)
  • Form JC48 Notice of Proceedings Concerning an Indian Child - Michigan

    1

  • Form JC48 Notice of Proceedings Concerning an Indian Child - Michigan, Page 2

    2

  • Form JC48 Notice of Proceedings Concerning an Indian Child - Michigan, Page 3

    3

  • Form JC48 Notice of Proceedings Concerning an Indian Child - Michigan, Page 4

    4

  • Form JC48 Notice of Proceedings Concerning an Indian Child - Michigan, Page 1
  • Form JC48 Notice of Proceedings Concerning an Indian Child - Michigan, Page 2
  • Form JC48 Notice of Proceedings Concerning an Indian Child - Michigan, Page 3
  • Form JC48 Notice of Proceedings Concerning an Indian Child - Michigan, Page 4
Prev 1 2 3 4 Next
ADVERTISEMENT