Form AT-315 Application for Temporary Class "b" / "class B" Retailer's License - Wisconsin

Form AT-315 Application for Temporary Class "b" / "class B" Retailer's License - Wisconsin

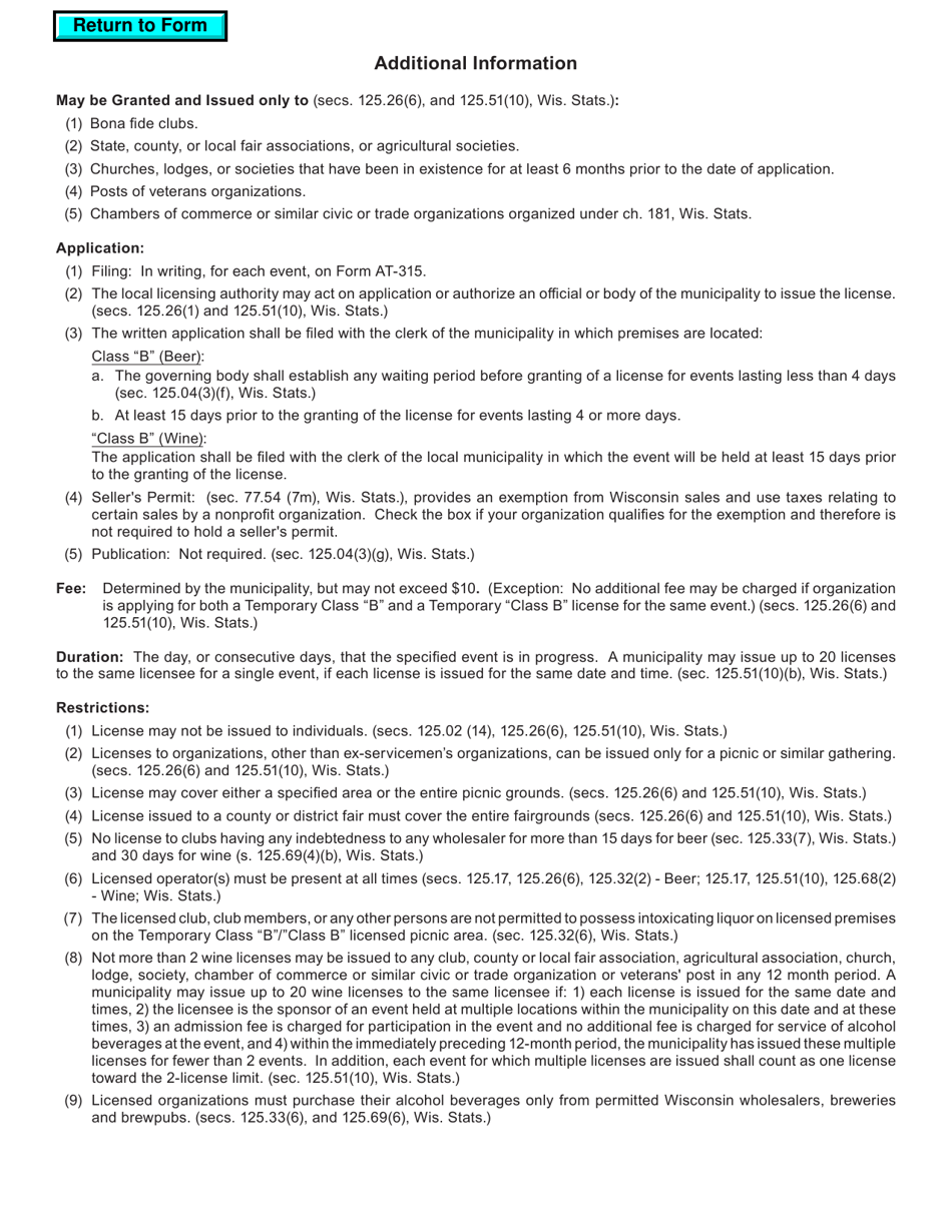
What Is Form AT-315?

This is a legal form that was released by the Wisconsin Department of Revenue - a government authority operating within Wisconsin. As of today, no separate filing guidelines for the form are provided by the issuing department.

FAQ

Q: What is Form AT-315?
A: Form AT-315 is an application for a Temporary Class 'B' Retailer's License in Wisconsin.

Q: What is a Temporary Class 'B' Retailer's License?
A: A Temporary Class 'B' Retailer's License allows the holder to sell alcohol beverages at a specific event or location.

Q: Who needs to apply for a Temporary Class 'B' Retailer's License?
A: Any individual or organization that wishes to sell alcohol beverages at a temporary event or location in Wisconsin needs to apply for this license.

Q: What information is required on Form AT-315?
A: Form AT-315 requires information about the event, the applicant, the location, and the type of alcohol beverages to be sold.

Q: Are there any fees associated with the application?
A: Yes, there is a non-refundable fee for applying for a Temporary Class 'B' Retailer's License.

ADVERTISEMENT

Form Details:

  • Released on September 1, 2019;
  • The latest edition provided by the Wisconsin Department of Revenue;
  • Easy to use and ready to print;
  • Quick to customize;
  • Compatible with most PDF-viewing applications;
  • Fill out the form in our online filing application.

Download a fillable version of Form AT-315 by clicking the link below or browse more documents and templates provided by the Wisconsin Department of Revenue.

Download Form AT-315 Application for Temporary Class "b" / "class B" Retailer's License - Wisconsin

4.6 of 5 (33 votes)
  • Form AT-315 Application for Temporary Class "b"/"class B" Retailer's License - Wisconsin

    1

  • Form AT-315 Application for Temporary Class "b"/"class B" Retailer's License - Wisconsin, Page 2

    2

  • Form AT-315 Application for Temporary Class b / class B Retailers License - Wisconsin, Page 1
  • Form AT-315 Application for Temporary Class b / class B Retailers License - Wisconsin, Page 2
Prev 1 2 Next
ADVERTISEMENT

Related Documents