Proposal for Management Agent - California

Proposal for Management Agent - California

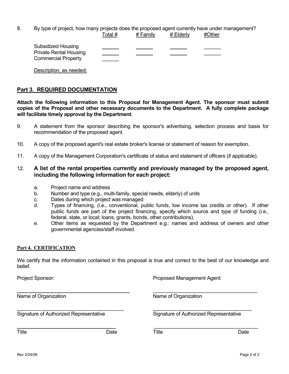
Proposal for Management Agent is a legal document that was released by the California Department of Housing & Community Development - a government authority operating within California.

FAQ

Q: What is a management agent?
A: A management agent is a professional or company hired to handle the day-to-day operations and tasks related to managing a property or community.

Q: Why would I need a management agent?
A: A management agent can help alleviate the burden of property management tasks, such as maintenance, repairs, tenant screening, and rent collection.

Q: What services does a management agent provide?
A: A management agent can provide various services, including property maintenance, rent collection, tenant communication, lease enforcement, and financial management.

Q: What are the benefits of hiring a management agent?
A: Some benefits of hiring a management agent include saving time and effort, accessing their expertise and industry knowledge, ensuring proper legal compliance, and maintaining the value of your property.

Q: How much does a management agent cost?
A: The cost of a management agent can vary depending on factors such as the size and complexity of the property, the services required, and the location. It is best to contact management agents directly for specific pricing information.

Q: What qualifications should I look for in a management agent?
A: When choosing a management agent, look for qualifications such as experience in property management, knowledge of local laws and regulations, good communication skills, and the ability to handle emergencies effectively.

ADVERTISEMENT

Form Details:

  • Released on February 24, 2006;
  • The latest edition currently provided by the California Department of Housing & Community Development;
  • Ready to use and print;
  • Easy to customize;
  • Compatible with most PDF-viewing applications;
  • Fill out the form in our online filing application.

Download a printable version of the form by clicking the link below or browse more documents and templates provided by the California Department of Housing & Community Development.

Download Proposal for Management Agent - California

4.3 of 5 (13 votes)
  • Proposal for Management Agent - California

    1

  • Proposal for Management Agent - California, Page 2

    2

  • Proposal for Management Agent - California, Page 1
  • Proposal for Management Agent - California, Page 2
Prev 1 2 Next
ADVERTISEMENT